自考题库
首页
所有科目
自考历年真题
考试分类
关于本站
游客
账号设置
退出登录
注册
登录
出自:经济学
根据基尼系数大小,比较下列三国哪个国家的分配最平均()
A:甲国基尼系数0.1
B:乙国基尼系数0.15
C:丙国基尼系数0.2
D:都不正确
下列预算年度类型中,世界各国采用最多的是()。
A:历年制
B:4月制
C:7月制
D:10月制
当企业规模一定时,管理的层次与管理的幅度成反比关系。()
某设备原值为11000,估计可使用5年,预计5年后残值为1000元,若采用直线折旧,则年折旧额为()
A:2000
B:1800
C:1500
D:2200
关于对时间很敏感的消费者,下列说法
不正确
的是:()
A:这部分消费者,他们对价格变化的敏感程度低于对采购时间长短的敏感程度
B:这部分消费者对商品价格的差异毫不在乎
C:这部分消费者更多关注所欲购买商品的价格水平差异
D:零售商如果能使他们在采购过程中很快地搜索到所需商品,则零售商就可以索取一份额外的溢价收入
“货币政策”这一术语是指,政府支付更多货币来购买更多产品和服务。
直接消耗系数
项目在整个计算朗内,各年净现金流量现值累计等于零时的折现率,称为()。
A:财务内部收益率
B:投资回收期
C:财务净现值
D:投资利润率
需求曲线向右上方移动说明消费者愿意在更高的价格上购买更多的商品。
社会主义条件下实现总供给与总需求平衡的途径是什么?
美国经济学家弗()在20世纪60年代提出了“()”的概念。
若商品的市场需求曲线是向下倾斜的直线,则我们可以判断()
A:它具有不变弹性
B:当需求量增加时,其弹性上升
C:当价格下跌时弹性下降
关于经济全球化,以下说法正确的是()。
A:经济全球化对发达国家只有利没有弊
B:经济全球化对发展中国家只有弊没有利
C:经济全球化对发展中国家只有利没有弊
D:经济全球化对发展中国家既是机遇也是挑战
评价土地利用的经济效益的各类方法中属于动态分析方法的是:()
A:贴现系数法
B:投资回收期法
C:投资收益增长率法
D:投资产品增长率法
形成教育规模经济的条件包括()
A:资源利用的充分性
B:教师的水平
C:教育资源使用的适当性
D:教育管理者的索养
E:教育规模扩大的有限性
人们在()是倾向于减少持有的货币。
A:债券价格趋于上升
B:债券价格趋于下降
C:债券收益率不变
D:以上都有可能
以下属于微观经济学问题的是()
A:人口增长问题
B:猪肉价格上升过快
C:银行不愿意放贷
D:出口减少
如何实现公共物品的有效供给?
信贷融资的缺点是什么?
简述凯里的再生产费用价值论
在产品品种构成和产品单位成本不变的条件下,单纯的产量变动,只影响可比产品成本降低额而不影响可比产品成本降低率。
已知一国的资本品存量在年初为10000亿美元,在本年度生产了2500亿美元的资本品,资本消耗折旧是2000亿美元,则该国在本年度的总投资和净投资分别是()
A:2500亿美元500亿美元
B:12500亿美元10500亿美元
C:2500亿美元2000亿美元
D:7500亿美元8000亿美元
近现代经济学体系形成的三次革命
不包括
()。
A:古典革命
B:边际主义革命
C:凯恩斯革命
D:斯拉法革命
我国由政府垄断的一级土地市场是指().
A:土地使用权出让
B:土地使用权转让
C:土地使用权出租
D:土地使用权抵押
某类产品的需求量对收入比较敏感,收入有一个较小的变化就会引起需求量较大的波动,则它的弹性()
A:E
I
>1
B:E
I
=1
C:E
I
<1
D:E
I
=0
如果一家企业生产所有各种产品的总成本小于由多个企业分别生产这些产品的成本之和,就意味着这家企业的成本方程具有()
A:劣可加性
B:正外部性
C:负外部性
D:优可加性
按照凯恩斯的消费函数,下列哪项不是影响消费倾向的因素()
A:工资单位的变化
B:消费者的预期寿命
C:消费者的贪婪和吝啬
D:利息率的变化
一个市场的企业少于多少才算是寡头垄断,是以这些企业是否彼此影响从而需要考虑对方的反应为标准的。
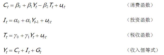
考虑以下扩展的凯恩斯收入决定模型
其中,C=消费支出,Y=收入,I=投资,T=税收。模型中的内生变量是C,I,T和Y,而前定变量是C,G(政府支出)和Y
t-1
。
第1题,共2个问题
(简答题)用阶条件检查方程组的可识别性
第2题,共2个问题
(简答题)如果将外生变量利率R
t
列入投资函数的解释变量中,整个模型的识别状况如何?
对土地的私有权垄断()
A:是级差地租产生的原因
B:是级差地租产生的条件
C:是绝对地租产生的原因
D:是绝对地租产生的条件
首页
<上一页
1287
1288
1289
1290
1291
下一页>
尾页