自考题库
首页
所有科目
自考历年真题
考试分类
关于本站
游客
账号设置
退出登录
注册
登录
出自:经济学
简要说明总产量曲线、平均产量曲线和边际产量曲线之间的关系。
微观经济学的基本理论是价格理论()
关于IS-LM模型的调整,下列说法
不正确
的是()。
A:IS曲线和LM曲线都不可以通过货币政策和财政政策进行调整
B:IS曲线通过财政政策调整,LM曲线通过货币政策调整
C:IS曲线通过货币政策调整,LM曲线通过财政政策调整
D:IS曲线和LM曲线都可以通过货币政策和财政政策进行调整
资本增值
产业资本含义及其根本特征,按照政治经济学的产业资本概念,目前所说的在第三产业中运动的资本是否都是产业资本?
对投入要素之间不能完全替代的等产量曲线来说,只要在生产的合理阶段,其边际技术替代率:()
A:总为负值,但不一定递减
B:总为负值,但绝对值是递减的
C:总为负值,它的绝对值是递减的
D:它的值是递减的,但不一定总为负值
劳动力价格等于人力资源成本。
平均收入
无偏性技术进步
下列关于开发经济对内外均衡影响的论述中()项是不恰当的。
A:一国的开放程度越高,通过国际贸易渠道对本国的影响越大
B:如果甲国同乙国的贸易额在乙国的对外贸易中所占的比重很小,则甲国的价格变动对乙国的经济影响就不太重要
C:任何宏观政策都不能阻止外国经济变动对本国经济的影响
D:通过国际金融市场间利率差的调节,是资本国际流动的最主要因素
第三级差别定价情况下,垄断厂商利润最大化的条件是总的边际收益等于各个市场的边际收益之和。
序数效用论认为,商品效用的大小取决于它的使用价值。
供给定理意味着,其他条件不变,()
A:供给量和价格同方向变动
B:供给量和价格反方向变动
C:只有在价格上升时,供给才会增加
D:只有在价格下降时,供给才会增加
E:以上说法都对
评标委员会成员在评标过程中不能客观公正地履行职责,情节严重的,取消资格,并可处()元以下的罚款。
A:3千
B:5千
C:1万
D:3万
教育投资、人力投资和智力投资三者的联系与区别。
当()时,企业提供了利润最大化产量。
A:边际收益等于价格
B:边际收益等于边际成本
C:经济利润等于零
D:沉没成本等于固定成本
北冰洋洋盆内冰速较小,基本上在()。
A:1~4厘米/秒
B:2~5厘米/秒
C:3~7厘米/秒
D:7~10厘米/秒
总成本中随产量变动而变动的费用称为(),例如:直接材料、直接人工费、直接燃料和动力费及包装费等。
不属于
准时生产(JIT)的实施要点的是()
A:尽快提供充分的物料
B:排除浪费
C:改进产品设计与流程设计
D:改进工厂布局
收支相抵点
下列
不属于
熊彼特的著作的是()。
A:《理论经济学的本质与主要内容》
B:《经济发展理论》
C:《经济成长的过程》
D:《租税国家的危机》
从存在形式看来,贸易资本分为()。
A:商品资本
B:货币资本
C:有形资本
D:流动资本
互斥方案的经济效果评价包括绝对效果检验和相对效果检验。
极端的平衡增长理论强调供给会创造需求,因而,采取全面的"大推进"战略,才会形成整个工业部门的全面增长。
帕累托最优状态本质上反映的就是资源最有效配置的状态,也就是实现生产的最优。
局部分析是对()的分析。
A:一个部门的变化对其他部门的影响
B:一个市场出现的情况而忽视其他市场
C:经济中所有的相互作用和相互依存关系
D:与供给相独立的需求的变化
哪个不是企业战略管理的特点()
A:层次性
B:整体性
C:长期性
D:权威性
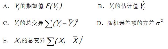
在经典线性回归模型中,影响
的估计精度的因素有()
A:A
B:B
C:C
D:D
E:E
假定边际消费倾向等于60%,政府同时增加20万美元的支出和税收,将使国民收入()。
A:增加20万美元
B:保持不变
C:增加12万美元
简述旅游微观经济效益与宏观旅游效益的关系。
首页
<上一页
1217
1218
1219
1220
1221
下一页>
尾页