自考题库
首页
所有科目
自考历年真题
考试分类
关于本站
游客
账号设置
退出登录
注册
登录
出自:电气工程公共基础
三相变压器的变比是指()之比。
A:原副边相电势
B:原副边线电势
C:原副边线电压
电压互感器的角误差,是二次侧电压的矢量转过180°后和原电压矢量间以度和分计的相位差的数值。如果二次侧电压超前原电压时,角度的误差是()的。
A:负;
B:正;
C:0;
D:可能负
变压器常用的绝缘材料有变压器油、电话纸、()等。
A:绝缘纸板
B:金属薄膜
C:水
D:塑料
某方案的设计生产能力为4万件,每件产品的销售价格为500元,年总成本为1000万元,其中固定成本为400万元,销售税金及附加为50元/件,增值税为10元/件,则产量盈亏平衡点为()件。
A:11765
B:13793
C:21053
D:34483
升压变压器,一次绕组的每匝电势()二次绕组的每匝电势。
A:等于
B:大于
C:小于
变压器的辅助接线的绝缘试验应承受2.5kV,1min的对地外施耐压试验。
设随机变量X服从区间(-1,5)上的均匀分布,Y=3X-5,则E(Y)与D(Y)分别等于().
A:1,9
B:3,27
C:4,27
D:1,27
若图(a)电路中的输入电压如图(b)所示,则输出电压u0的波形为()。
A:
B:
C:
D:
当孔口、管嘴出流的作用水头H和管(孔)径d分别相等时,则必有()。
A:
B:
C:
D:
单稳态触发器可用来()。
A:产生矩形波
B:产生延迟作用
C:存储器信号
D:把缓慢信号变成矩形波
变压器的其它条件不变,若原副边的匝数同时减少10℅,则X1,X2及Xm的大小将()。
A:X1和X2同时减少10,Xm增大
B:X1和X2同时减少到0.81倍,Xm减少
C:X1和X2同时减少到0.81倍,Xm增加
D:X1和X2同时减少10℅,Xm减少
利用滚动法搬运设备,放置滚杠的数量有一定的要求,如果滚杠较少,则所需的牵引力()。
A:增加;
B:减少;
C:不变;
D:与滚杠成正比例增加。
以下各项中,属于建设项目筹集权益资金方式的是()。
A:发行债券筹集的资金
B:国内外企业入股的资金
C:商业银行贷款
D:出口信贷
图示杆OA以角速度ψ1绕O轴旋转,轮C相对杆以角速度ω2在杆上滚动。轮半径为R,杆长为2l,此瞬时OB=BA。若以轮心C为动点,动系固结在OA杆上,则C点的牵连速度vE为()。
A:Rω2,⊥BC向下
B:,⊥OB向上
C:,⊥BC向下
D:,⊥OC向上
下面对异步计数器中“异步”的说法错误的是()。
A:输出信号与输入信号异步
B:各触发器翻转异步
C:输入信号与时钟脉冲异步
D:预置数控制与时钟信号异步
某企业发行债券融资,在年名义利率相同的情况下,对投资者比较有利的复利计息期是()。
A:1年
B:半年
C:1季
D:1月
什么是相位差?
轻瓦斯动作后收集到的气体为无色无味不易燃的气体时,则可判断变压器内部()。
A:相间短路;
B:铁心片间短路;
C:单相接地;
D:无故障。
单次曝光法
光学系统的三种放大率是垂轴放大率、角放大率、轴向放大率,当物像空间的介质的折射率给定后,对于一对给定的共轭面,可提出()种放大率的要求
圆管层流中断面最大流速umax与平均流速v之比()。
A:0.5
B:1.0
C:2.0
D:4.0
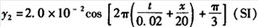
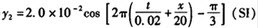
在弦线上有一简谐波,该简谐波的表达式为y1=2.0×10-2(SI),为了在此弦线上形成驻波,并且在x=0处为一波节,此弦线上还应有一简谐波,其表达式为()。
A:
B:
C:
D:
不可压缩流体的特征是()。
A:温度不变
B:密度不变
C:压强不变
D:粘度不变
考验变压器绝缘水平的一个决定性试验项目是()。
A:绝缘电阻试验
B:变比试验
C:工频耐压试验
D:空载试验
铜管直径D=10mm,流量Q=4.71L/min,在10m管长上的水头损失为1.918m,则其沿程损失系数是()。
A:0.03
B:0.0376
C:0.025
D:0.017
等于()。
A:arctan+C
B:2arctan+C
C:tan(1+x)
D:arctan+C
恒定流是()。
A:流动随时间按一定规律变化的流动
B:流动中任意空间点的运动要素不随时间变化的流动
C:各过流断面的速度分布相同的流动
D:各过流断面的压强相同的流动
在图4-64中,杆AB在该位置的动能为()。
A:
B:
C:
D:
如图7-15所示电路中,US=10V,i=1mA,则()。
A:因为i2=0,使电流i1=1mA
B:因为参数C未知,无法求出电流i
C:虽然电流i2未知,但是i>i1成立
D:电容存储的能量为0
下列选项中,哪一项
不属于
CSS3所包含的内容?()
A:字处理
B:排版处理(盒子模型)
C:图形处理
D:表格处理
首页
<上一页
119
120
121
122
123
下一页>
尾页