自考题库
首页
所有科目
自考历年真题
考试分类
关于本站
游客
账号设置
退出登录
注册
登录
出自:经济学
施工定额与预算定额的主要区别有哪些?
农产品需求是指消费者在一定时期内对各种农产品有支付能力的需要。也就是说,人们对农产品的需要,受其购买欲望和支付能力的影响,需求概念是()和()的统一。缺少任何一个条件都不能成为经济学意义上的需求。
A:购买欲望
B:购买能力
C:支付欲望
D:支付能力
保持耕地总量动态平衡的内容?
什么是环境库茨涅茨曲线,对EKC的解释观点是什么?
连锁企业采购货源主要来自三个方面()功能。
A:公司自有;
B:外部固定供应商;
C:生产基地;
D:外部新供应商;
E:批发商。
进行费用效果分析,项目备选方案应具有可比的寿命周期。
逆向选择的机理是:在交易时,信息优势一方会利用优势信息采取不利于信息劣势一方的行动,使得后者受损。但信息劣势一方发现受损后,会终止交易。
资本主义经济危机为什么是周期性地爆发?
在信息经济学的研究过程中,微观研究与宏观研究相结合有两层含义()
A:不仅要探讨微观信息经济学的内容,而且要研究宏观信息经济学的内容,不可偏废某一个方面
B:对同一个问题来说,要么对所研究的问题做微观分析,要么对其进行宏观分析
C:对于大部分理论问题,研究时只要探讨宏观信息经济学的内容就可以了
D:对同一个问题来说,既要对所研究的问题做微观分析,又要对其进行宏观分析
解决资本总公式矛盾的关键在于论证价值是在()
A:生产领域产生的,但离不开流通领域
B:流通领域产生的,但离不开生产领域
C:流通领域产生的,与生产领域无关
D:生产领域产生的,与流通领域无关
商品X和商品Y的价格按相同的比率上升,而收入不变,则预算线()。
A:向左下方平行移动
B:向右上方平行移动
C:不变动
D:向左下方或右上方平行移动
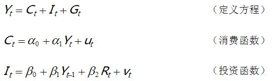
有以下联立方程组
在这个联立方程组计量经济学模型中,先决变量有几个?()
A:0个
B:1个
C:2个
D:3个
教育投资
市场经济的协调机制是价格。
经济运行中,通货膨胀一般表现为货币供应量大于货币需求量。
劳动过程
当一般价格水平上升时,将会使各经济主体收入增加,总需求增加。
下列哪一项是影响储蓄的最重要的因素?()
A:利率水平
B:居民个人或家庭的收入水平
C:消费习惯
D:财富分配情况
我国《合同法》确立严格责任原则为违约责任归责原则的理由是什么?
基础产业的最大特征是中间投入率(),中间需求率()。
A:较小;较小
B:较小;较大
C:较大;较小
D:较大;较大
垄断一般可以分为()。
A:自然垄断
B:行为垄断
C:法定垄断
D:国家垄断
根据投资的对象,投资可以分为哪几种类型?
如果异常自然灾害使经济的资本存量减少,但是没有对劳动力产生任何伤害,那么实际工资将()。
A:上升
B:下降
C:不变
D:上升或者下降
下列宏观经济计量模型中投资函数所在方程的类型为()
A:技术方程
B:制度方程
C:恒等式
D:行为方程
旅游经济政府规制
为什么企业向政府缴纳的间接税(如营业税)也计入GDP?
由抽象到具体是()
A:由理论到实践
B:由一般到特殊
C:由简单范畴到复杂范畴
D:由宏观到微观
为什么说商业银行是一个特殊的企业,其特殊性表现在哪儿?
2007年8月21日,广西金嗓子集团正式签约国际足坛巨星卡卡,至此,深受中国球迷喜爱的巴西足球巨星卡卡将成为金嗓子新的形象代言人。广西金嗓子集团是我国制药行业新秀,连续五年被评为广西壮族自治区优秀科技型企业、广西医药先进单位,是广西壮族自治区明星企业及全国驰名商标获得企业。其产品包括以金嗓子喉片为龙头的一系列中西药品和保健品。其拳头产品--金嗓子喉片作为全国同行业中的领先者,一直倍受消费者青睐,市场占有率十余年来均名列全国前茅,并在全球五大洲十多个国家均有销售。金嗓子公司在多年的经营中,逐渐建立了一套独特有效的营销路线并贯彻执行。2003年,金嗓子选择了国际足球巨星--"世界足球先生"罗纳尔多作为其产品形象代言人,标志着金嗓子迈出了走向世界,造福人类的重要一步;2007年,金嗓子又将选择新一代世界足坛骄子--"巴西金童"卡卡成为其新的形象代言人,期望利用卡卡充满朝气的外表,健康良好的个人形象以及其天才的发展潜力,让金嗓子的品牌和产品在全球更为深入人心。据金嗓子新闻发言人透露,卡卡每年都将来华参加金嗓子活动,金嗓子将借助卡卡展开一系列广告宣传和推广活动,通过足球和球星的魅力,让更多的人感受运动、健康、合作、和谐的氛围。并以此为契机,吸引更多的人关注足球,关注金嗓子,树立企业新形象。为什么销售优质产品的厂商愿意花高价做广告?
社会资本扩大再生产的基本实现条件是()
A:A
B:B
C:C
D:D
首页
<上一页
1203
1204
1205
1206
1207
下一页>
尾页