自考题库
首页
所有科目
自考历年真题
考试分类
关于本站
游客
账号设置
退出登录
注册
登录
出自:电气工程公共基础
下列各种说法中正确的是()。
A:取向力仅存在于极性分子之间
B:凡分子中含有H原子的物质一定有氢键
C:非极性分子中的化学键总是非极性键
D:色散力仅存在于非极性分子
若以Pt表示静态投资回收期,表示动态投资回收期,则对一个确定的项目来说()。
A:Pt<
B:Pt>
C:Pt=
D:Pt和之间的大小不能确定
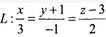
已知直线
,平面π:-2x+2y+z-1=0,则()。
A:L与π垂直相交
B:L平行于π但L不在π上
C:L与π非垂直相交
D:L在π上
OSI模型有()层。
A:5
B:6
C:7
D:8
下列电路中
不属于
时序逻辑电路的是()。
A:计数器
B:全加器
C:寄存器
D:分频器
列物质中,属于酚类物质的是()。
A:C3H7OH
B:C6H5CH2OH
C:C6H5OH
D:CH2OHCHOHCH2OH
在竖直放置的平面镜前,某同学以0.1m/s的速度沿垂直镜面的方向向平面镜走去,他的像将()
A:以0.2m/s的速度向平面镜运动
B:以0.1m/s的速度远离平面镜运动
C:以0.1m/s的速度向平面镜运动
D:以0.1m/s的速度向该同学运动
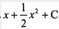
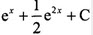
设f'(lnx)=1+x,则f(x)等于()。
A:
B:
C:x+ex+C
D:
对β2<90的后弯式叶片,Q-H关系曲线为()。
A:水平直线
B:自左向右下降的直线
C:自左向右上升的直线
D:自左向右下降的曲线
在下列A/D转换器类型中,转换速度最快的是()转换器。
A:逐次渐近型
B:双积分型
C:并联型
D:V-F型
变压器的空载电流的性质和作用如何?它与哪些因素有关?
紊流光滑区的沿程损失hf,与平均流速ν的多少次方成正比?()
A:2次方
B:1.75次方
C:1次方
D:1.85次方
图示压力供水箱水位恒定,顶部压力表读数
,水深H=2m,水平供水管长l=100m,管径d=200mm,沿程阻力系数λ=0.02,若忽略局部水头损失,则管道通过的流量Q=()L/s。
A:47.4
B:59.3
C:83.8
D:196.5
根据《建筑法》的规定,划分勘察设计单位资质等级的条件,
不包括
()。
A:注册资本
B:技术装备
C:专业技术人员
D:技术保障措施
连续光谱
石墨能够导电的原因,是由于石墨晶体()。
A:层内存在自由电子
B:层内有杂化轨道
C:属金属晶体
D:层内存在离域大键
望远物镜有什么光学特性和像差特性?
北京甲公司与上海乙公司订立了一份书面合同,甲公司签字、盖章后邮寄给乙公司签字、盖章。该合同成立的时间是()。
A:甲公司与乙公司口头协商一致时
B:乙公司签字、盖章时
C:甲公司将签字、盖章的合同交付邮寄时
D:乙公司签字、盖章并送达甲公司时
函数1/x展开成(x-2)的幂级数为()。
A:A
B:B
C:C
D:D
变压器温升试验时环境温度至少需要纪录2点.( )
在下列各种化合物中,分子间有氢键的是()。
A:CH3Br
B:NH3
C:CH4
D:CH3Cl
《建设工程质量管理条例》规定,建设单位不得明示或者暗示()违反工程建设强制性标准,降低建设工程质量。
A:勘察单位或者设计单位
B:设计单位或者监理单位
C:设计单位或者施工单位
D:施工单位或者监理单位
简述系统的脉冲响应的傅里叶变换?
采用声压法测量变压器的噪音和声强法测量变压器的噪音可以得到一样的结果.( )
距离保护中阻抗、电抗与输电线路的长度成_________。
目前常用的施密特触发器是()
A:TTL集成施密特触发器
B:用分立元件构成的施密特触发器
C:CMOS集成施密特触发器
D:555定时器构成的施密特触发器
吸收全息图
目管理流程的描述、组织和完成项目工作,以产品为导向的管理流程说明和创造项目产品,因此一个项目管理流程和一个产品导向的管理流程以下说法
不正确
的是()。
A:是重叠的并且在整个项目期间是交互影响的
B:由项目的周期决定
C:与对项目工作的描述和组织有关
D:在每个应用领域都是类似的
用于浸渍电机、电器和变压器绕组的绝缘材料是()。
A:1030醇酸浸渍漆
B:1032三聚氰醇酸浸渍漆
C:1231醇酸凉干漆
D:1320和1321醇酸灰瓷漆
在0.05mol/L的HCN中,若有0.01%的HCN电离了,则HCN的解离常数Ka为()。
A:5×10-8
B:5×10-10
C:5×10-6
D:2.5×10-7
首页
<上一页
118
119
120
121
122
下一页>
尾页