自考题库
首页
所有科目
自考历年真题
考试分类
关于本站
游客
账号设置
退出登录
注册
登录
出自:经济学
传统的微观经济学关于人的行为的一个基本假设是:在约束条件下产生最优化的行为,这被称为()。
A:完全理性
B:有限理性
C:预期
D:以上都不是
在固定汇率制下,汇率不能有任何变动。
政府应当一视同仁地提供一个良好的竞争机制。
关于自然社会,说法
不正确
的是()。
A:封建社会、奴隶社会都可以叫自然社会
B:群体化生存
C:自然社会中人间接地依附于人
D:人对土地所有者的依赖
信息产业结构
旅游业用地
影响成交价格的因素。
如果判断经济的复苏只是短期的,对企业来说,延长劳动时间往往比增雇新人更能节省成本。
简述信息产业的地位。
反向拍卖
请论述国际碳减排中的公平原则
由主管设计的工程师作出设计,提出完成所需功能的办法和生产工艺,然后顺序请各方面的专家审查的方法是()
A:头脑风暴法
B:哥顿法
C:专家意见法
D:专家检查法
对于长期总供给曲线,下面说法正确的是()。
A:GDP=8.7亿元
B:GDP=8.7亿元
C:GDP=5亿元
D:无法确定GDP
工程项目的经济效益主要由工程项目建设的哪个时期体现?()
A:投资前时期
B:投资时间
C:生产时期
D:工程项目设计时期
有关劳动的供给曲线向后弯曲的说法正确的是:()
A:当工资增加到一定程度,其所带来的替代效应大于收入效应
B:当工资增加到一定程度,其所带来的收入效应大于替代效应
C:当工资增加到一定程度,收入已经很高,人们希望有闲暇替代工作
D:当工资增加到一定程度,继续增加工资则劳动的供给开始减少
为什么说经济学根源于人类欲望的无限性与资源的稀缺性之间的矛盾?
下列关于国民生产总值说法正确的有()。
A:一年内一个经济中的所有交易的市场价值
B:一年内一个经济中交换的所有商品和劳务的市场价值
C:一年内一个经济中交换的所有最终商品和劳务的市场价值
D:一年内一个经济中生产的所有最终商品和劳务的市场价值
在社会化大生产条件下,商品流通的主要组织者是各种形式的()。
市场经济是推动生产力发展的有效方法,但市场经济本身也存在着固有的缺陷。
短期内,如果一个利润最大化垄断者达到了均衡点,则边际收益()
A:一定小于平均成本
B:一定等于平均成本
C:一定大于平均成本
D:不能确定
根据自己的体会举例说明什么是相对性原理。
区域经济学家对市场区的实证研究发现,下列哪类行业的人口数于营业区的相关程度最低。()
A:服装
B:百货
C:医务
D:邮政
()是借鉴“哈佛指数”和ARIMA模型分析的基本思想,通过对行业增长的趋势性和周期性规律的探索和把握,在分析各产业生产、投资、进出口、价格、效益、市场结构等方面数据变动及其特点的基础上形成的一个综合反映行业增长状况和趋势的指标。
A:中国产业发展指数
B:中国行业发展指数
C:中国行业增长指数
D:中国产业增长景气指数
冬季经常会结冰的海域是()黄海海域。
A:黄海海域
B:东海海域
C:渤海海域
D:南海海域
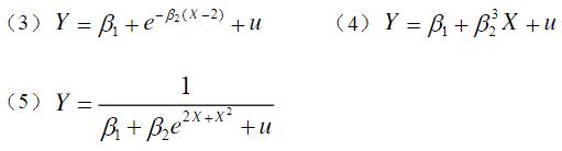
下列模型中,哪些可以化为线性回归模型来处理:
说明土地价格具有上涨趋势的原因。
在生产过程中,两个最重要的要素是资本和什么:()
A:资源
B:器材
C:技术
D:劳动
下列
不属于
垂直型产业内贸易产品特征的是()。
A:质量不同
B:要素比例不同
C:需求交叉弹性小
D:价格水平相同
流通企业经营特点是()
A:购销量大
B:经营方式多种多样
C:很大的波动性
D:它的销售不和流通加工结合起来
什么是运输代理制?其优点有什么?
首页
<上一页
1196
1197
1198
1199
1200
下一页>
尾页