自考题库
首页
所有科目
自考历年真题
考试分类
关于本站
游客
账号设置
退出登录
注册
登录
出自:经济学
什么是投资乘数?其计算公式是什么?
什么是地区形象?为什么要塑造地区形象?
按照刘易斯等人的设想,从二元经济向一元化的工业社会过渡,主要依赖于()的扩张。
宏观经济学中的资产包括实物资产和金融资产。
连锁商店相对于传统商店的革命性表现在()
A:标准化管理
B:简单化作业
C:集中化进货
D:经营方式的革命
E:专业化分工
关于财政预算平衡的理论主要有()
A:年度预算平衡论
B:周期预算平衡论
C:相对平衡论
D:功能财政论
说明核算GDP的支出法。
LM曲线向右上倾斜的假定条件是什么?
垄断高价
纳税期限是税收()的重要体现。
A:强制性
B:固定性
C:无偿性
D:法制性
串谋垄断的稳定点是寡头折断需求曲线的折点。
与自由竞争相比,在垄断条件下,产量大于资源配置达到最优时的产量,而价格低于资源配置达到最优时的价格。
如消费函数斜率为正,则储蓄函数斜率一定为负。
下列有关策略和纳什均衡的叙述错误的是().
A:混合策略是博弈方根据一组选定的概率,在两种或两种以上可能的行为中随机选择的策略
B:纯策略是博弈方采取一种选择或一种行动
C:有些博弈不存在纯策略纳什均衡,但存在混合策略的纳什均衡
D:有些博弈存在纯策略纳什均衡,但也存在混合策略的纳什均衡
经济全球化给发展中国家的科技发展提供了哪些机遇和挑战?为什么说经济全球化使发展中国家技术经济追赶的环境比以前恶化了?应该如何应对这种不利的环境?
发达国家的工业化模式的特点
不包括
()。
A:以城市的大规模工业企业为载体
B:由政府推动的自上而下的工业化
C:多由民间发动的自下而上的工业化
D:多为消费品生产导向
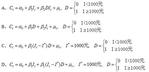
假定月收入水平在1000元以内时,居民边际消费倾向维持在某一水平,当月收入水平达到或超过1000元时,边际消费倾向将明显下降,则描述消费(C)依收入(I)变动的线性关系宜采用()。
A:A
B:B
C:C
D:D
为使潜在顾客能够根据所获得的信息进行斟酌思考,房地产广告媒体可选择()。
A:户外广告
B:电视媒体
C:印刷媒体
D:广播媒体
局部均衡分析是假定各个市场上、各种商品的价格与供求都是相互联系的。
存货、预付账款、一年内到期的非流动资产等均属于速动资产。
经济效益与费用识别的基本要求是遵循有无对比的原则。
社会主义的精髓是集体主义。
建立误差修正模型的步骤为一般采用两步:第一步,();第二步,()。
以下各项
不属于
直接投资的有()
A:新建
B:证券投资
C:技术改造
D:改建
()是后发国家促进超常规发展,实现赶超目标的重要工具。
A:产业规制
B:产业政策
C:产业发展
D:产业布局
能够检验多重共线性的方法有()
A:简单相关系数矩阵法
B:DW检验法
C:t检验与F检验综合判断法
D:ARCH检验法
E:辅助回归法(又称待定系数法)
在包含调控时滞的宏观经济模型中,政府要想改变经济衰退应该在什么时候实行扩张政策?()
A:在经济增长为零时
B:在经济衰退达到最低点时
C:在经济衰退过了最低点之后
D:在经济衰退未达到最低点之前
水面舰艇的上层建筑主要包括船楼、()和岛型建筑。
A:桅杆
B:上甲板
C:甲板室
D:指挥室
收入—消费曲线(ICC)
如果某种物品降价而总收益不变,那么,这种物品的需求为单位弹性。
首页
<上一页
1194
1195
1196
1197
1198
下一页>
尾页