自考题库
首页
所有科目
自考历年真题
考试分类
关于本站
游客
账号设置
退出登录
注册
登录
出自:电气工程公共基础
如图6-18所示水箱排水系统2-2断面管口自由出流,管直径50mm,不计损失,管内流量为()L/s。 A.17.4 B.8.86 C.4.43 D.17.9
A:17.4
B:8.86
C:4.43
D:17.9
三极管开关电路中,影响开关速度的主要囚素是()。
A:tD
B:tR
C:tS
D:tF
下列分子属于极性分子的是()。
A:O2
B:CO2
C:BF3
D:C2H3F
电网解列时,应将解列点_________调整至零。有困难时,可在_________的情况下解列
过点(-1,0,1)且与平面x+y+4z+19=0平行的平面方程为()。
A:x+y+4z-3=0
B:2x+y+z-3=0
C:x+2y+z-19=0
D:x+2y+4z-9=0
一束自然光垂直穿过两个偏振片,两个偏振片的偏振化方向成45°角。已知通过此两偏振片后的光强为I,则入射至第二个偏振片的线偏振光强度为()。
A:I
B:2I
C:3I
D:
电容分压器的匹配电阻只能采用末端匹配的方法。
齐次线性方程组的基础解系为()。
A:α1=(1,1,1,0)T,α2=(-1,-1,1,0)T
B:α1=(2,1,0,1)T,α2=(-1,-1,0)T
C:α1=(1,1,1,0)T,α2=(1,0,0,1)T
D:α1=(2,1,0,1)T,α2=(-2,-1,0,1)T
一台40MVA分裂变压器,低压电压为6.3kV,电流为2291.1A,低压I加电,低压II短路,施加490A电流,测得电压为270V,分裂阻抗计算为uk=20.0%。()
价值工程中“价值”的含义是()。
A:产品的使用价值
B:产品的交换价值
C:产品消耗的必要劳动时间
D:产品功能与实现其功能总成本的比值
已知向量α=(-3,-2,1),β=(1,-4,-5),则|α×β|等于()。
A:0
B:6
C:
D:14i+16j-10k
单极性集成电路包括()
A:TTL集成电路
B:PMOS集成电路
C:NMOS集成电路
D:CMOS集成电路
三态寄存器的()信号无效时,寄存器输出为高阻状态。
A:异步清零
B:输入使能
C:CP
D:输出使能
磁电式微安表使用后应将其两个接线端子( )
A:开路
B:接地
C:接壳
D:用导线短接
驼峰型qv-H性能曲线的特点是:在曲线最高点K点()。
A:为不稳定工作点,其余均为稳定工作区域
B:右侧为不稳定工作区域
C:附近为不稳定工作区域
D:左侧为不稳定工作区域
拆除接地线时,应先拆( )端。
A:导线
B:接地
三铰拱上作用有大小相等、转向相反的两个力偶,其力偶矩大小为M,如图4-14所示。略去自重,则支座A的约束力大小为()。
A:
B:
C:
D:
下列变化是化学变化的是()
A:馒头发霉
B:雪糕融化
C:水沸腾
D:玻璃破碎
不属于
峰值电压表的是()。
A:电阻式峰值电压表
B:电容电流整流峰值电压表
C:有源数字表
D:整流充电电压峰值电压表
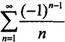
级数
的收敛性是()。
A:绝对收敛
B:条件收敛
C:等比级数收敛
D:发散
下列关于导体表述正确的是( )。
A:在施工现场专用的中性点直接接地的电力线路中,必须采用TN-C接零保护系统
B:绝缘子的底座、套管的法兰、保护网(罩)及母线支架等可接近裸露导体应接地(PE)或接零(PEN)可靠。不应作为接地(PR)或接零(PEN)的接续导体
C:当保护导体采用一般铜导线时,有机械保护时,其截面不应小于2.5m㎡;无机械保护时不应小于5m㎡
D:金属电缆支架、电缆导管必须接地(PE)或接零(PEN)可靠
变水头收缩管出流()。
A:有当地加速度和迁移加速度;
B:有当地加速度无迁移加速度;
C:有迁移加速度无当地加速度;
D:无加速度。
计算机中数据存储的基本单位是()。
A:BIT
B:BYTE
C:WORD
D:CHAR
焊接性能是金属材料的________性能之一。
对目视光学仪器的共同要求是什么?
模拟信号u(t)的波形图如图9-2所示,它的时间域描述形式是()。
A:
B:
C:
D:
什么是流体?
如图所示,M、N为电量相等的正电荷,XY为MN的垂直平分线,O为MN的中点。某重力不计的正电荷Q位于O点,先将Q向上移动很小距离后释放,电荷Q的受力方向为()。
A:垂直向下
B:垂直向上
C:左上方
D:右上方
将体积V1=0.01m3、温度T1=273K的氮气(刚性双原子分子),从压强p1=106Pa绝热膨胀到P2=105Pa,下面结果正确的是()。
A:末态体积V2=0.518m3
B:末态温度T2=41K
C:内能增量ΔE=1.21×102
D:对外做功W=1.21×104J
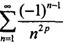
级数
()。
A:当p>时,绝对收敛
B:当p>时,条件收敛
C:当0时,绝对收敛
D:当0时,发散
首页
<上一页
117
118
119
120
121
下一页>
尾页