自考题库
首页
所有科目
自考历年真题
考试分类
关于本站
游客
账号设置
退出登录
注册
登录
出自:计算机科学
目前许多二维的影院动画长片和电视系列动画片,主要还是采用传统的单线平涂制作方法。
()是被长期存放在计算机内的、有组织的、统一管理的相关数据的集合。
A:DATA
B:INFORMATION
C:DB
D:DBS
一个2Mbps的网络,线路长度为1km,传输速度为20m/ms,分组大小为1000字节,应答帧大小可忽略。若采用简单停一等协议,实际数据率是多少?信道利用率是多少?
在网页中任何位置插入框架需要()标签。
说明在HTML中实现表格拆分的做法。
页面中三个元素的属性为float:left;margin-right:20px;,含义是()。
A:三个元素向左浮动并间隔20像素
B:三个元素向右浮动
C:三个元素向右浮动并间隔20像素
D:此代码无效
SiteMapper是一个 ()软件。
A:网站检验
B:图像编辑
C:视频编辑
D:文本编辑
请分别写出调用子程序、子程序返回所使用的指令,并简述所用指令的工作过程。
在以下的寻址方式中,操作数直接出现在指令中的是()
A:寄存器寻址
B:立即数寻址
C:直接寻址
D:变址寻址
与动态MOS存储器相比,双极性半导体存储器的特点是()
A:速度快,功耗小
B:集成度高
C:速度慢
D:容量大
在令牌总线控制方法中,如果某一节点要进行数据发送,则必须()
A:可立即发送
B:等到总线空闲
C:等到空令牌
D:等发送时间到
PwerPoint中,如果想要把文本插入到某个占位符,正确的操作是()
A:单击标题占位符,将插入点置于占位符内:
B:单击菜单栏中插入按钮
C:单击菜单栏中粘贴按钮
D:单击菜单栏中新建按钮
ADSL是现在比较流行的一种接入因特网的技术,关于ADSL的叙述中正确的是()
A:下行流传输速率高于上行流
B:上网时无法打电话
C:传输速率高达1Gb/s
D:只允许1台计算机在线,不能支持多台计算机同时上网
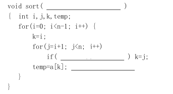
函数sort使用选择法将一维整型数组中各元素按值从大到小排序。请填空。
国家有关部门应该对采用中国传统艺术形式的国产动漫产品给予一定的优惠、扶持政策。
设unsignedinta=65535;则printf(“%o”,a);的输出是()
A:65535
B:177777
C:ffff
D:-1
点、线、面在上下或左右,有相同的部分出现时称(),它是表现平衡的完美形态,是人们生活中最为常见和习惯的一种构成形态。
水平参考方向是指用户自行定义的放置面上的一个方向,该方向用来作为定位的水平参考方向,即作为临时的XC参考轴。
以下哪一项
不属于
隐私泄露的途径?()
A:通过微信等社交网络平台
B:通过手机应用软件
C:恶意代码窃取
D:谨慎处置手机、硬盘等存有个人信息的设备
一般来说,音频信号的压缩编码主要分为无损压缩编码和有损压缩编码两大类,无损压缩编码指不引入任何数据失真的各种编码;有损压缩编码是()
A:混合编码、熵编码
B:波形编码、参数编码、条件编码
C:混合编码、波形编码
D:波形编码、参数编码、混合编码
C#中TestClass为一自定义类,其中有以下属性定义 publicvoidProperty{…} 使用以下语句创建了该类的对象,并使变量obj引用该对象: TestClassobj=newTestClass(); 那么,可通过什么方式访问类TestClass的Property属性?()
A:Obj,Property;
B:MyClass.Property;
C:obj::Property;
D:obj.Property;
动画制作过程中约束时先选择的物体是()。
A:约束物体
B:被约束物体
C:父物体
D:子物体
用SQL语言创建统计分析查询的语句是()。
A:DELETE
B:INSERT
C:SELECT
D:UPDATE
()负责核发互联网上网服务营业场所的营业执照和对无照经营、超范围经营等违法行为的查处。
A:公安部门
B:税务部门
C:工商管理部门
D:文化部门
电路仿真
FontDialog控件的()属性用来获取或设置一个值,该值指示对话框是否包含允许用户指定删除线、下划线和文本颜色选项的控件
在类的成员声明时,若使用了()修饰符,则该成员只能在该类或其派生类中进行访问。
Jackson系统开发方法是一种典型的面向对象的分析设计方法。
设备或线路资源更新时,需要同步更新以下哪些系统的数据()
A:资源系统、网管系统、运维支撑系统等
B:资源系统
C:手工台账、网管系统
D:网管系统、资源系统
不论哪一种病毒在侵入计算机后,都会对系统及程序造成不同程度的影响。
首页
<上一页
115
116
117
118
119
下一页>
尾页