自考题库
首页
所有科目
自考历年真题
考试分类
关于本站
游客
账号设置
退出登录
注册
登录
出自:电气工程公共基础
三态门输出高阻状态时,下列说法
不正确
的是()。
A:用电压表测量指针不动
B:相当于悬空
C:电压不高不低
D:测量电阻指针不动
如图6-24所示,管道进口形式从左到右排列为A、B、C、D,局部阻力系数由大到小的排列顺序是()。
A:ABCD
B:DBAC
C:CDBA
D:DABC
试验证实下列反应在标准条件下均按正方向进行:
由此判断下列标准电极电势代数值从大到小的排列顺序正确的是()。
A:
B:
C:
D:
配置熔断器作为变压器保护,其高低压熔断器的时间配合关系为()。
A:高压熔断器的时间应小于低压熔断器的时间
B:两熔断器的熔断时间应相等
C:低压熔断器的时间应小于高压熔断器的时间
D:怎样都行
下面对与门的功能描述正确的是()。
A:有1出1,全0出0
B:有0出0,全1出1
C:有1出0、全0出1
D:有0出1,全1出0
在GB1094.3-2003标准中规定,对于Um≥300kV的绕组,短时感应耐压试验为()。
A:例行试验
B:特殊试验
C:型式试验
自在现模
逻辑函数的表示方法中具有唯一性的是()。
A:真值表
B:表达式
C:逻辑图
D:卡诺图
设F(x)是f(x)的一个原函数,则等于()。
A:F(e-x)+C
B:-F(e-x)+C
C:F(ex)+C
D:-F(ex)+C
设3是方阵A的特征值,则A2+A-2E必有特征值().
A:3
B:10
C:4
D:不能确定
组合逻辑电路消除竞争冒险的方法有()。
A:修改逻辑设计
B:在输出端接入滤波电容
C:后级加缓冲电路
D:屏蔽输入信号的尖峰干扰
同一变压器在同一测试电压和线路参数下,测量直流电阻时,所需要的电流稳定时间与()无关。
A:变压器的铁心材料
B:变压器的励磁历史
C:变压器的试验电流大小
D:变压器以外的电路参数
当三相交流发电机的三个绕组接成星形时,若线电压
,则相电压uC为下列式中的哪一个?()
A:
B:
C:
D:
如下设备中,()一定要用到A/D转换器。
A:智能机械位置检测装置
B:会场用的音频扩音机
C:高级照明灯具
D:数字电压表
下列各物质的化学键中,只存在σ键的是()。
A:C2H2
B:H2O
C:CO2
D:CH3COOH
阻抗继电器根据比较原理的不同分为_________和_________两类。
在弦线上有一简谐波,其表达式为为了在此弦线上形成驻波,并且在x=0处为一波腹,此弦线上还应有一简谐波,其表达式应为()。
A:
B:
C:
D:
设矩阵,则矩阵方程XA=B的解X等于().
A:
B:
C:
D:
接地极型式可以采用( )。
A:金属水道系统
B:铝质包皮和其他金属外皮电缆
C:埋于基础内的接地极
D:钢筋混凝土中的钢筋
TTL门电路的开门电阻的典型值为()。
A:3kΩ
B:2kΩ
C:700Ω
D:300Ω
工作在电压比较器中的运放与工作在运算电路中的运放的主要区别是,前者的运放通常工作在()
A:深度负反馈状态
B:放大状态
C:开环或正反馈状态
D:线性工作状态
带有局放测量的长时感应耐压试验只有脉冲电流法。()
静止的流体中任一点所受到的各个方向的静压强均相等。
调焦镜
消模糊
在下述各项中,提高产品价值最理想的途径是()。
A:提高功能、成本不变
B:功能不变、成本降低
C:提高功能、降低成本
D:成本稍有增加、功能大幅度提高
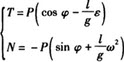
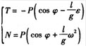
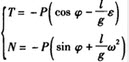
如图所示,均质杆OA,重为P,长为2l,绕过O端的水平轴在铅直面内转动,转到角时,有角速度ω和角加速度ε,则此时铰链O处约束力T和N为()。
A:
B:
C:
D:
已知
,且f(0)=1,那么()。
A:f(x)在x=0处不连续
B:f(x)在x=0处连续
C:不存在
D:
对流体的平衡和运动规律具有主要影响的是()。
A:粘性;
B:压缩性;
C:膨胀性;
D:惯性。
下列措施中不能提高产品价值的是()。
A:降低成本,功能提高
B:降低成本,功能不变
C:成本略有提高,功能提高很多
D:成本略有提高,功能不变
首页
<上一页
114
115
116
117
118
下一页>
尾页