自考题库
首页
所有科目
自考历年真题
考试分类
关于本站
游客
账号设置
退出登录
注册
登录
出自:计算机科学
在绘制直线时,可以使用缩写命令是()。
A:c
B:L
C:pan
D:E
中断类型号为10H的中断服务程序的入口地址存放在()
A:0000H:0010H
B:0010H:0000H
C:0000H:0040H
D:0040H:0000H
通道是特殊的处理器,它有自己的(),因此具有较强的并行工作能力。
A:运算器
B:存储器
C:指令和程序
D:以上均有
当单击了单选按钮控件后,下列说法正确的是()
A:只执行Click事件
B:只执行GetFocus
C:既执行事件Click,也执行事件GetFocus
D:具体执行哪个事件要在程序或属性中设定
图像旋转会引起图像失真吗?为什么?
人们感知光的形式有:光源、()、()
早期动画影片中的纵向运动镜头是用什么方法完成的?()
A:是用镜头的移动方式
B:是用拍摄中多层景的水平移动来完成的
C:是用摄影机的移动方式来完成的
D:是用轨道来完成的
模块A是数据查询模块,其模块内部包括输入查询条件、连接数据源、打开查询记录集、显示查询结果。该模块属于哪种内聚形式?
定点整数16位,含1位符号位,原码表示,则最大正数为()
A:2
16
B:2
15
C:2
15
-1
D:2
16
-1
“AUTOCAD2oo2今日”对话框的“打开图形”选项卡用于打开已有图形,在该选项卡”的选择开始方式“下拉列表框中有以下几个选项:()
A:最近使用的文件
B:历史记录(按日期)
C:历史记录(按文件名)
D:历史记录(按位置)
下面是传输层使用的协议是()。
A:IP协议
B:SMTP协议
C:FTP协议
D:UDP协议
语句“SELECT * FROM Student WHERE sage BETWEEN 20 AND 25”的作用是()。
A:查询年龄大于20并且小于等于25的学生
B:查询年龄大于20并且小于25的学生
C:查询年龄大于等于20并且小于等于25的学生
D:查询年龄大于等于20并且小于25的学生
计算机系统最基本的输入输出程序放在()中。
A:ROM
B:RAM
C:NVRAM
D:硬盘存储器
在计算机中,用于汉字信息的存储、交换、检索等操作的是()
A:汉字输入吗
B:汉字内码
C:汉字字模码
D:ASCII码
在编辑WORD文档时,若要在当前产生新的一行,但不是产生新的段落,新行的格式与当前段落格式相同(即插入人工分行符)。满足此要求的操作是按下()键。
A:ENTER
B:ALT+ENTER
C:CTRL+ENTER
D:SHIFT+ENTER
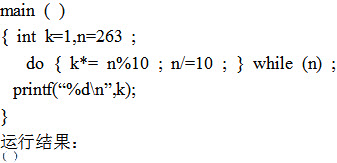
写出下面程序运行的结果。
按代表要移动的方向的箭头键,按一下移动一个像素。按一下Shift和箭头组合键可以将选择的对象移动()像素。
A:8个
B:9个
C:10个
D:12个
计算机数据总线的宽度决定了CPU一次可接收数据的能力。
某工厂公开招工,规定报名者的年龄应在16周岁至35周岁之间(到2005年3月30日止)。即出生年月不在上述范围内,将拒绝接受,并显示“年龄不合格”等出错信息。假定出生年月由6位数字字符表示,前4位代表年,后2位代表月。 (1)利用等价类法设计测试用例, (2)利用边界值分析法设计测试用例。
DVD数字光盘采用的视频压缩标准为()
A:MPEG-1
B:MPEG-2
C:MPEG-4
D:MPEG-7
局域网技术中使用最普遍的一种拓扑结构是()
A:总线结构
B:环型结构
C:星型结构
D:网状结构
如图所示的关系R和S,计算:R1=R-S、R2=R∪S、R3=R∩S、R4=R×S。
假如我们想要对象eh来处理TextArea对象t的TextEvent事件,那么,我们应如何把eh添加为t的事件处理程序?()
A:t.addTextListener(eh)
B:eh.addTextListener(t)
C:addTextListener(eh,t)
D:addTextListener(t,eh)
使用class定义的表中,成员的默认访问权限是()的;由struct定义的类中,成员的默认的访问权限是()的。
信息安全问题产生的根源内部因素是信息系统、网络系统自身存在脆弱性,下
不属于
脆弱性的原因的是()。
A:有利益关系
B:过程复杂
C:结构复杂
D:应用复杂
8255A 工作于方式1输入时,由外设输入的STB信号的()控制下将送到端口A(或端口B)的数据锁存。
A:上升沿
B:下降沿
C:交电平
D:低电平
只有加约束的草图曲线才有参数,普通曲线都是没有参数的。
在VBScript代码中,表示注释的符号是()
A:A
B:B
C:C
D:D
8086CPU内部可分为两个部分,即()单元和()单元。
判断页面是否第一次载入可通过属性()实现
首页
<上一页
114
115
116
117
118
下一页>
尾页