自考题库
首页
所有科目
自考历年真题
考试分类
关于本站
游客
账号设置
退出登录
注册
登录
出自:公卫执业助理医师
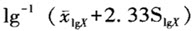
若正常人血铅含量近似对数正态分布,拟用300名正常人血铅值确定95%正常值范围,最好采用的公式是()
A:
±2.58s
B:
C:
D:
E:
±1.96S
45岁女患者,车祸头部受伤,伤后即昏迷.1小时后入院时,中度昏迷,右侧瞳孔散大.光反射消失,左上下肢病理征(+)。
第1题,共3个问题
(单选题)根本治疗措施为()
A:冬眠物理降温
B:脱水治疗
C:止血,预防感染治疗
D:气管切开
E:血肿清除术
第2题,共3个问题
(单选题)采取检查为()
A:X线颅片
B:脑电图
C:脑血管造影
D:CT
E:ECT
第3题,共3个问题
(单选题)首先采取措施是()
A:给予止血药物
B:20%甘露醇250ml静点
C:给予抗生素预防感染
D:地塞米松20mg静点
E:给予呼吸兴奋剂
可经血液传播的肝炎是()
A:甲型肝炎
B:乙型肝炎
C:丙型肝炎
D:乙型肝炎+丙型肝炎
E:戊型肝炎+甲型肝炎
新生儿期的保健的原则()
A:保温
B:清理呼吸道
C:断脐
D:预防感染
E:以上全是
产生温室效应的主要气体是()
A:CO
2
B:NO
x
C:SO
2
D:H
2
S
E:CO
新婚女性最宜采取的避孕方法是()
A:避孕套
B:宫内节育器
C:自然避孕
D:屏障避孕
E:短效口服避孕药
流行病学实验的终点事件是指()
A:研究对象痊愈
B:研究对象死亡
C:研究对象退出
D:研究对象失访
E:已患疾病痊愈、致残或死于所研究的疾病
关于生长韵正确概念是()
A:细胞和组织的分化
B:细胞繁殖增大和细胞间质的增加
C:细胞的繁殖与增大
D:组织器官与身体各部大小重量的增加
E:身体组织成分的变化
劳动条件包括()
A:劳动过程
B:生产工艺过程
C:生产环境
D:三者都是
E:三者都不是
男,38岁,经理,2周前有婚外性行为,3天前尿道刺痒、刺痛,查尿道口轻度红肿,尿道分泌物呈浆液性,少许。若确诊为生殖道衣原体感染治疗推荐方案为()
A:环孢素
B:青霉素
C:阿奇霉素
D:甲硝唑
E:头孢曲松
患布氏杆菌病的牛所产的奶应作何处理( )。
A:销毁
B:发酵
C:高温灭菌
D:巴氏消毒
E:喂饲其它禽畜
在高危人群中进行HIV抗体筛检来了解艾滋病的流行概况属于()
A:行为危险因素监测
B:法定传染病报告
C:主动监测
D:被动监测
E:哨点监测
健康状况的生理指标、疾病与死亡指标是何种评价类型的指标()
A:形成评价
B:过程评价
C:效应评价
D:总结评价
E:结局评价
病后携带病原体期限超过3个月者称为()
A:暂时性病原携带者
B:恢复期病原携带者
C:慢性病原携带者
D:健康病原携带者
E:潜伏期病原携带者
社区试验
不包括
下列的哪一项()
A:可检验病因假设
B:检验预防措施的效果
C:了解其他社区对使用该预防措施的意见
D:了解预防措施的不良反应
E:了解干预措施的效果
砷急性中毒的典型症状()
A:腹痛、腹泻、呕吐
B:头痛、头晕、失眠
C:末梢神经炎
D:血压和血糖升高
E:"乌脚"病
男,62岁,2天前突然右眼黑蒙。左侧肢体无力,约10分钟后恢复,今日又有类似发作一次,体检:未发现异常。血压18/12kPa。
第1题,共4个问题
(单选题)依据临床表现,病变定位()
A:颈内动脉颅外段
B:颈内动脉颅内段
C:大脑中动脉
D:大脑前动脉
E:大脑后动脉
第2题,共4个问题
(单选题)当明确诊断后,最主要的处理是()
A:降颅压
B:扩脑血管
C:降血糖
D:抗炎治疗
E:降血脂
第3题,共4个问题
(单选题)最有助于诊断的检查方法()
A:头颅CT
B:空腹血糖
C:胸部平片
D:头颅X线片
E:脑电图
第4题,共4个问题
(单选题)诊断为()
A:脑栓塞
B:脑血栓形成
C:多发性脑梗死
D:脑出血
E:短暂性脑缺血发作
母乳喂养的好处
不包括
()
A:母乳便于婴儿消化吸收
B:促进母亲子宫恢复
C:母乳哺育省时、省力、经济、方便
D:通过频繁母婴皮肤接触增加母子感情
E:母乳含锌量极高
水中含有胶体颗粒,长期不易自然沉淀,必须进行()
A:混凝沉淀
B:自然沉淀
C:消毒
D:过滤
E:特殊处理针对不同水质的水源水,应分别采用不同的水质净化处理方法
与葡萄球菌肠毒素产生无关的因素是()
A:食物存放温度
B:食物受葡萄球菌污染的程度
C:食物存放地点的通风状况
D:加入甜味剂的量
E:食品的种类
厂房内产生有毒气体作业地点的通风排毒主要采用()
A:全面抽出式机械通风
B:全面送入式机械通风
C:有组织的全面自然通风
D:局部送入式机械通风
E:局部抽出式机械通风
环境卫生学的定义是()
A:是研究自然环境和生活环境与人群健康关系的科学
B:是阐明环境对人群健康影响的发生和发展规律的科学
C:是为制订环境卫生标准提供卫生学依据的科学
D:是研究利用有利环境因素和控制不利环境因素的对策,预防疾病,保障人群健康的科学
E:A+B+C+D
粪便和有机垃圾堆肥法原理是()
A:在适宜条件下和微生物作用形成腐殖质
B:在有氧条件下发生化学分解达到无机化
C:在密闭容器内氧化分解,达到无害化
D:在密闭容器内氧化分解,再在厌氧菌作用下发酵腐熟
E:以上都不是
心动周期中,左心室内压升高速率最快的时相在()
A:心房收缩期
B:等容收缩期
C:快速射血期
D:减慢射血期
E:快速充盈期
呼吸商最小的食物是()
A:糖类
B:蛋白质
C:脂肪
D:维生素
E:无机盐
利多卡因对哪种心律失常无效()
A:室性期前收缩
B:心肌梗死所致心律失常
C:心脏手术所致心律失常
D:强心苷引起的快速心律失常
E:室上性心动过速
促进胰岛素分泌的药物是()
A:二甲双胍
B:罗格列酮
C:格列齐特
D:吡格列酮
E:阿卡波糖
下面关于一氧化碳急性中毒的描述错误的是()
A:一氧化碳急性中毒皮肤黏膜呈樱桃红色
B:高压氧是较有效的治疗手段
C:急性中毒的机制是因为一氧化碳与血红蛋白的亲和力比氧要大3600倍
D:临床上可将一氧化碳急性中毒分为三级
E:急性中毒后可发生神经系统后遗症
以下哪项措施可使水中次氯酸含量保持偏高水平()
A:使水温偏高
B:使水温偏低
C:使pH偏高
D:使pH偏低
E:使浑浊度偏高
在成组设计方差分析的无效假设是()
A:各对比组样本均数相等
B:各对比组总体均数相等
C:至少有两个对比组总体均数相等
D:各对比组样本均数差别无统计学意义
E:地对比组总体均数不等
首页
<上一页
111
112
113
114
115
下一页>
尾页