自考题库
首页
所有科目
自考历年真题
考试分类
关于本站
游客
账号设置
退出登录
注册
登录
出自:电气工程公共基础
国际标准对油浸式电力变压器在额定容量下温升限制如何规定?
计算机信息系统集成企业资质等级评定条件实施细则》中规定了一级资质企业需满足的条件,以下选项中
不属于
一级资质企业要求的是()
A:企业主业是计算机信息系统集成,近三年系统集成收入总额占营业收入总额的比例不低于70%
B:企业财务状况良好,最近年度没有出现亏损
C:企业是在中华人民共和国境内注册的企业法人,变革发展历程清晰、产权关系明确。
D:企业取得计算机信息系统集成企业二级资质时间不少于两年
由氯丁橡胶和丁腈橡胶制成的橡胶垫()使用。
A:可在有油和汽油的场所;
B:不可在有油和汽油的场所;
C:可作绝缘材料;
D:不可作绝缘材料。
如图,bca为理想气体绝热过程,b1a和b2a是任意过程,则上述两过程中气体做功与吸收热量的情况是()。
A:b1a过程放热,做负功;b2a过程放热.做负功
B:b1a过程吸热,做负功;b2a过程放热,做负功
C:b1a过程吸热,做正功;b2a过程吸热,做负功
D:b1a过程放热,做正功;62a过程吸热,做正功
我们每天生活在不断变化的物质世界里,下列变化属于化学变化的是()
A:河水结冰
B:铜线导电
C:葡萄酿酒
D:石蜡熔化
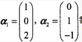
设A为矩阵
,都是齐次线性方程组Ax=0的解,则矩阵A为()。
A:
B:
C:
D:
在磁动势均匀分布的等高同心式绕组中,漏磁场在绕组的整个高度上除了端部以外,()。
A:纯属辐向漏磁场;
B:纯属轴向漏磁场;
C:既不是纯辐向,也不是纯轴向漏磁场;
D:纯径向。
高电压试验变压器为避免谐波的影响,一次回路常选用相电压。()
增益系数
计算机如果按字节编址,则一个存储单元占()。
A:8个字节
B:16个二进制
C:1个字节
D:32个二进制
把NaAc晶体加到0.1mol·L-1溶液中将会使()。
A:溶液的pH值降低
B:增加
C:溶液的pH值升高
D:减小
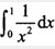
下列广义积分中收敛的是()。
A:
B:
C:
D:
设方程y"-4y’+3y=0的某一积分曲线,它在点(0,2)处与直线x-y+2=0相切,则该积分曲线的方程是().
A:
B:
C:
D:
压与频率都增加5℅时,穿过铁芯线圈的主磁通()。
A:增加
B:减少
C:基本不变
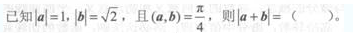
已知|a|=1,|b|=√2,求|a+b|=()如图:
A:1
B:1+√2
C:2
D:√5
什么是光学系统的球差?
下列关于无线宽带接入市场驱动力的市场因素错误的是()。
A:网络高覆盖――网络经济效益
B:没有竞争对手
C:全球无线热点、移动互联网、无线城市的发展不可挡,已经形成当今世界的潮流
D:随着3G、4G的业务开通,用户对终端设备的要求也越来越高,设备可以在移动过程中实现语音、视频、数据等综合业务的高速接入。
计算机体系结构的设计思想的设计人是()。
A:图灵
B:冯·诺依曼
C:肖特
D:比尔·盖茨
在相同距离的情况下,沿面放电电压比油间隙放电电压()。
A:高很多;
B:低很多;
C:差不多;
D:相等。
转子励磁电源应是_________电。
关于电压比电桥下列叙述正确的是()。
A:电压比测量范围很大。
B:用于单向和三相变压器各种绕结组。
C:可以同时测量绕组联结组标号。
D:以上三个答案都正确。
一个8选1数据选择器,其地址输入(选择控制输入)端有几个()。
A:2
B:3
C:4
D:5
在OCL电路中,引起交越失真的原因是()
A:输入信号大
B:晶体管β过大
C:电源电压太高
D:晶体管输入特性非线性
两个小组生产同样的零件,第一组的废品率是2%,第二组的产量是第一组的2倍而废品率是3%,若两组生产的零件放在一起,从中任抽取一件,经检查是废品,则这件废品是第一组生产的概率为()。
A:15%
B:25%
C:35%
D:45%
图4-34所示物块A重力的大小W=10N,被用大小为FP=50N的水平力挤压在粗糙的铅垂墙面B上,且处于平衡。块与墙间的摩擦系数f=0.3。A与B间的摩擦力大小为()。
A:F=15N
B:F=10N
C:F=3N
D:只依据所给条件则无法确定
标准TTL门关门电平Uoff之值为()。
A:0.3V
B:0.5V
C:0.8v
D:1.2V
零序电流只有在系统发生_________或_________时才会出现。
计算机的发展方向是微型化、巨型化、多媒体化、智能化和()。
A:功能化
B:模块化
C:系列化
D:网络化
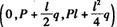
图示悬臂梁AB,梁长l,受集中力P和线性分布力q作用,则固定端A处的约束力、约束力偶的大小应为()。
A:(0,P+lq,0)
B:
C:
D:
TTL与非门电压传输特性曲线分为()
A:饱和区
B:转折区
C:线性区
D:截止区
首页
<上一页
110
111
112
113
114
下一页>
尾页