某一供电系统如图所示,工厂的变电所分别由电网及发电厂各来一回110kV电源,在110kV母线并网运行,变电所内装设一台31.5MVA,110/10kV,uK2%=10.5变压器,电网各参数标明在图上。计算取基准容量Sj=100MVA。

第1题,共5个问题
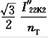
(单选题)K1点三相短路时从发电厂提供的超瞬态短路电流周期分量有效值I″K2为()。
A:5.18kA
B:1.18kA
C:5.56kA
D:1.42kA
第2题,共5个问题
(单选题)K1点三相短路时从电力系统提供的超瞬态短路电流周期分量有效值I″K2为()。
A:5.56kA
B:5.18kA
C:1.18kA
D:1.42kA
第3题,共5个问题
(单选题)K2点三相短路时总的短路冲击电流ip为()。
A:28.33kA
B:27.72kA
C:32.03kA
D:23.82kA
第4题,共5个问题
(单选题)K2点三相短路时总的超瞬态短路电流周期分量有效值I″K2为()。
A:12.56kA
B:9.34kA
C:11.11kA
D:10.87kA
第5题,共5个问题
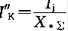
(单选题)K2点三相短路时短路第一周期全电流最大有效值Ip为()。
A:16.41kA
B:14.10kA
C:16.78kA
D:18.97kA