自考题库
首页
所有科目
自考历年真题
考试分类
关于本站
游客
账号设置
退出登录
注册
登录
出自:公卫执业助理医师
下列关于医院感染的描述中
不正确
的是()
A:患者与患者通过间接接触途径导致的病毒性感染属于医院感染
B:因医院的医疗器械消毒不严而引起的感染是医院感染
C:凡是患者在住院期间出现的感染均为医院感染
D:医师与患者通过直接接触途径发生的感染属于医院感染
E:当住院患者机体抵抗力下降时,寄生人体的正常菌群成为条件致病菌导致的感染属于医院感染
一般而言,流行病学认识疾病的途径是()
A:流行病学从分子水平认识疾病
B:流行病学从细胞水平认识疾病
C:流行病学从基因水平认识疾病
D:流行病学从个体水平认识疾病
E:流行病学从群体水平认识疾病
某患者服用对髓袢升支粗段NaCl主动重吸收有抑制作用的呋塞米后,尿量增多,尿渗透压下降,该患者排低渗尿的原因是远曲小管和集合管()
A:对Na
+
主动重吸收减少
B:对Cl
-
主动重吸收减少
C:对水的通透性降低
D:管腔外渗透压梯度降低
E:管腔内溶质浓度增加
女性,35岁,在温度计制造厂工作。由于温度掌握不好,温度计破裂,经常有汞蒸气外逸。该工人接触5年后出现了头痛、头昏、记忆力下降,接着出现了易激动,无故烦躁,易发怒,爱哭等症状,继而出现眼睑、手指的震颤,口腔黏膜有少量的溃疡。牙龈酸痛、红肿,有轻微的压痛。实验检查:尿汞含量300nmol/L(双硫腙法)。汞进入体内后,其毒作用基础是与()
A:红细胞结合
B:含巯基酶结合
C:呼吸酶结合
D:血浆蛋白结合
E:金属硫蛋白结合
刺激小肠黏膜释放缩胆囊素作用最强的物质是()
A:盐酸
B:蛋白质分解产物
C:脂酸钠
D:脂肪
E:糖类
血液凝固后所分离的淡黄色液体称为( )。
A:血浆
B:体液
C:血清
D:细胞外液
E:细胞内液
关于神经症,正确的叙述是()
A:多数伴有人格障碍
B:多在强烈心理刺激下发病
C:症状的特异性较差
D:起病一般较急
E:患者的社会功能不受影响
发达国家存在的营养不良问题是()
A:高血脂
B:肥胖
C:动脉硬化
D:高血压
E:以上都是
RNA合成与DNA合成相似之处在于()
A:RNA聚合酶和DNA聚合酶都可起校正作用
B:合成方向都是3′→5′
C:都以NTP为原料
D:聚合过程都是核苷酸之间形成磷酸二酯键
E:RNA聚合酶和DNA聚合酶都需要引物
下列关于统计表的制作的叙述,正确的是()
A:纵标目间用竖线分隔
B:横、纵标目用斜线分隔
C:要求各种指标小数位数一致
D:一张表应包含尽量多的内容
E:通常包括标题、标目、线条、数字4部分
某一孕妇在怀孕初期因车祸进行了输血,不久发现婴儿HIV阳性,婴儿感染的最可能传播方式()
A:医源性传播
B:垂直传播
C:经血液传播
D:接触传播
E:虫媒传播
阈电位指能引起Na
+
通道大量开放而引发动作电位的()
A:临界膜电位数值
B:最大局部电位数值
C:局部电位数值
D:临界超射值
E:临界峰电位数值
香烟烟雾的化学物质中能够使人体产生成瘾作用的是()
A:尼古丁
B:焦油
C:致癌物
D:烟尘
E:一氧化碳
环境卫生学的任务
不包括
哪个( )。
A:农村环境卫生工作
B:环境卫生监测
C:环境卫生监督
D:环境卫生专题调查
E:制定环境卫生标准
女性,35岁,在温度计制造厂工作。由于温度掌握不好,温度计破裂,经常有汞蒸气外逸。该工人接触5年后出现了头痛、头昏、记忆力下降,接着出现了易激动,无故烦躁,易发怒,爱哭等症状,继而出现眼睑、手指的震颤,口腔黏膜有少量的溃疡。牙龈酸痛、红肿,有轻微的压痛。实验检查:尿汞含量300nmol/L(双硫腙法)。
第1题,共4个问题
(单选题)主要的解毒剂是()
A:小剂量的亚甲蓝
B:硫代硫酸钠
C:青霉胺
D:二巯基丙磺酸钠
E:依地酸二钠钙
第2题,共4个问题
(单选题)如诊断为慢性汞中毒,主要还需了解()
A:环境中汞的浓度
B:一般情况
C:生产场所空气中汞浓度
D:汞进入体内的途径
E:个体的营养状况
第3题,共4个问题
(单选题)汞进入体内后,其毒作用基础是与()
A:红细胞结合
B:含巯基酶结合
C:呼吸酶结合
D:血浆蛋白结合
E:金属硫蛋白结合
第4题,共4个问题
(单选题)金属汞进入呼吸道的主要形式是()
A:烟
B:雾
C:气体
D:尘
E:蒸气
引起细菌性食物中毒的主要食品是()
A:动物性食品
B:豆类食品
C:粮谷类食品
D:蔬菜类
E:水果类
评价的实质是()
A:监督
B:比较
C:监测
D:平衡
E:总结
了解某学校在校生视力减退情况,从全校30个班中,随机抽取6个班,并对这6个班中的所有学生作调查。这种抽样方法称为()
A:单纯随机抽样
B:机械抽样
C:分层抽样
D:整群抽样
E:分层整群抽样
阿托品禁用于()
A:肠痉挛
B:虹膜睫状体炎
C:青光眼
D:胆绞痛
E:溃疡病
男性32岁,发作性全身乏力三年,常于饱餐或饮酒后发病,发作时查血钾3.0mmol/L,ECG示有U波出现。()
A:补钾疗法
B:支持疗法
C:气管切开术
D:人工辅助呼吸
E:新斯的明
F:普鲁卡因酰胺
G:苯妥英钠
体内的葡萄糖多用于()
A:生成非必需氨基酸
B:生成脂肪
C:生成草酰乙酸促进代谢物质的氧化
D:合成糖蛋白和糖脂
E:氧化供能
监测颗粒物采样高度()
A:0.5m
B:1.0m
C:1.5m
D:2~3m
E:3~5m
食物采样送检量应为全部检测量的()倍
A:1
B:2
C:2.5
D:3
E:4
我国野鼠型出血热的发病率从每年10月至次年1月升高,此种现象称为()
A:长期变动
B:短期波动
C:季节性
D:周期性
E:聚集性
肉毒中毒的好发食品为()
A:青皮红肉鱼
B:海产品和盐渍食品
C:自制发酵食品、罐头、臭豆腐
D:动物性食品、病死牲畜肉、蛋类
E:淀粉类食品、剩米饭、奶制品
女,39岁。某厂装配车间油漆工,头晕、四肢无力1年余,记忆力减退、入睡难,多噩梦。体检异常无发现。实验室检查:白细胞2.4×10
9
/L,中性粒细胞44%、淋巴细胞49%、嗜酸性粒细胞2%、单核细胞5%,红细胞3.6×10
12
/L,血红蛋白91.9g/L,血小板170×10
9
/L,骨髓象:中幼及晚幼粒细胞较少,红细胞系统大致正常 防止此类化学物中毒最有效的措施是()
A:通风排毒
B:自动化喷漆
C:使用湿式除漆柜
D:防毒口罩
E:定期体检
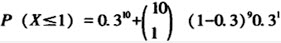
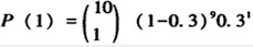
设某病的自然康复率为30%,求10个该病患者中自然康复1人及以下的概率()
A:
B:
C:
D:
E:以上均不对
孕期蛋白质需要增加主要是由于()
A:胎儿生长发育需要
B:母体乳腺、子宫和胎盘发育需要
C:储备部分蛋白质供分娩动用
D:以上皆是
E:以上皆不是
女性,25岁,4个月前开始眼皮睁不起来,视物成双,自觉休息后较好。3个月前感四肢无力,经中药治疗病情尚稳定。约5天前感冒后以上症状加重,并出现吞咽困难,饮水呛咳。近2天不能下床,憋气,咳嗽,有痰。来院时体温38℃,神清,唇甲稍有发绀,呼吸肌明显无力,痰量不多。
第1题,共5个问题
(单选题)为较快使病情缓解稳定,最好的方法是()
A:静脉用大剂量糖皮质激素
B:胸腺切除
C:血浆置换
D:反复肌注新斯的明
E:静脉注射环磷酰胺
第2题,共5个问题
(单选题)最急需的检查是()
A:腰椎穿刺
B:血清乙酰胆碱受体抗体测定
C:血清钾测定
D:血气分析
E:肌电图+重复电刺激检查
第3题,共5个问题
(单选题)最急需的适当治疗是()
A:气管插管
B:气管切开
C:肌注洛贝林
D:正压人工呼吸
E:肌注新斯的明
第4题,共5个问题
(单选题)此病人应用抗生素时首先选择()
A:卡那霉素
B:青霉素
C:庆大霉素
D:链霉素
E:多黏菌素
第5题,共5个问题
(单选题)重症肌无力被确定,应属于Osser-man分型的()
A:Ⅰ型
B:Ⅱa型
C:Ⅱb型
D:Ⅲ型
E:Ⅳ型
医生在询问病史时应遵循的道德要求是()
A:举止热情、态度亲如兄弟
B:全神贯注、语言得当
C:医生在询问病史过程中,不能发出惊叹,惋惜等语言
D:主导谈话,引导病人说出自己想听的内容
E:反复提问,尽量使用专业性术语
首页
<上一页
106
107
108
109
110
下一页>
尾页