自考题库
首页
所有科目
自考历年真题
考试分类
关于本站
游客
账号设置
退出登录
注册
登录
出自:电气工程公共基础
下列选项中()
不属于
建筑工程从业的经济组织。
A:施工单位
B:勘察单位
C:设计单位
D:建设单位
在图示电路中,若US单独作用时I’=1A;IS单独作用时I"=-1A,那么US、IS共同作用时,电阻R中的电流I为()。
A:2A
B:0A
C:-2A
D:因US、IS未知无法计算
给定对角阵
下列对角阵中,能与A合同的是().
A:
B:
C:
D:
信息安全技术体系中的审计跟踪一般
不包括
()。
A:入侵检测
B:防火墙
C:日志审计
D:辨析取证
组合逻辑电路分析步骤除了根据给定的逻辑图写出输出函数表达式还有()。
A:化简函数表达式
B:列出真值表
C:说明给定电路的基本功能
D:根据最简输出函数表达式画出逻辑图
根据《建筑法》的规定,工程监理人员发现工程设计不符合建筑工程质量标准或者合同约定的质量要求的,应当()。
A:要求建筑施工企业改正
B:及时停工并修改设计
C:报告建设单位要求设计单位改正
D:要求设计单位改正
三相变压器二次侧的额定电压是指原边加额定电压时二次侧()的电压。
A:空载线
B:空载相
C:额定负载时的线
下列选项中,哪一项是云计算派生技术()。
A:数据存储技术
B:数据管理技术
C:软件开发技术
D:云连接
抗氧化剂的作用是什么?
傅里叶变换全息图
一个无符号8位数字量输入的DAC,其分辨率为()位。
A:1
B:3
C:4
D:8
某电视机水平—垂直扫描发生器需要一个分频器将31500HZ的脉冲转换为60HZ的脉冲,欲构成此分频器至少需要()个触发器。
A:10
B:60
C:525
D:31500
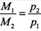
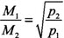
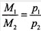
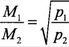
有两种理想气体,第一种的压强记作P1,体积记作V1,温度记作T1,总质量记作m1,摩尔质量记作M1;第二种的压强记作p2,体积记作V2,温度记作T2,总质量记作m2,摩尔质量记作M2。当V1=V2,T1=T2,m1=m2时,则为()。
A:
B:
C:
D:
在HF、HCl、HBr、HI中,按熔、沸点由高到低顺序排列正确的是()。
A:HF、HCl、HBr、HI
B:HI、HBr、HCl、HF
C:HCl、HBr、HI、HF
D:HF、HI、HBr、HCl
既克服了空翻现象,又无一次变化问题的常用集成触发器有()。
A:主从RS触发器
B:同步D触发器
C:边沿JK触发器
D:维持-阻塞D触发器
图示梁中横截面上的最大正应力为()。
A:9.38MPa
B:5.63MPa
C:3.75MPa
D:11.26MPa
简述电流互感器的基本原理?
移动式起重机在500kV带电区域附近工作时,除应设专人监护外,起重机与输电线中带电设备的最小安全距离为()。
A:1.5m;
B:2.0m;
C:4.0m;
D:7.5m。
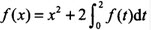
设f(x)是连续函数,且
,则f(x)=()。
A:x2
B:x2-2
C:2x
D:
线圈中感应电动势的方向总是企图使它所产生的感应电流( )
A:反抗原有磁通的变化
B:增加原有磁通的变化
C:停止原有磁通的变化
D:等于原有磁通的变化
将0.2mol/L的醋酸(Ka=l.8×10-5)与0.2mol/L醋酸钠溶液混合,为使溶液的pH维持在4.05,则酸和盐的比例应为()。
A:6:1
B:4:1
C:5:1
D:10:1
光波的独立传播定律
有甲、乙两个计算期相同的互斥项目,其中乙项目投资大于甲项目,,,基准收益率为15%,以下说法中正确的是()。
A:甲项目优于乙项目
B:乙项目优于甲项目
C:甲、乙两个项目均可接受
D:无法判断
如图4-52所示,有一圆轮沿地面作无滑动滚动,点O为圆轮与地面接触点,点A为最高点,点B、C在同一水平线位置,以下关于轮缘上各点速度大小的结论中错误的是()。
A:点A的速度值最大
B:点B与点C的速度值相等
C:点A的速度值为零
D:点O的速度值为零
25℃下,N2(g)+3H2(g)→2NH3(g)在密闭容器中反应达到化学平衡时,若加入惰性气体,估计会出现()。
A:平衡右移,氨产量增加
B:平衡左移,氨产量减小
C:平衡状态不变
D:正反应速率加快
()技术是在计算机应用中中产生并发展起来。
A:感知
B:识别
C:条形码
图示平面机构。曲柄OA长为r,以匀角速度绕O轴转动,通过链杆AB带动轮B在水平直线轨道60°,则此瞬时轮B的角速度为()。
A:
,顺时针向
B:
,逆时针向
以下
不属于
能力管理实施的是()
A:制定IT服务管理计划,并按计划实施
B:建立于需方的沟通协调机制
C:按照服务能力要求实施管理活动并记录,确保服务能力管理和服务过程实施可追溯,服务结果可计量或可评估
D:提交满足质量要求的交付物
异步电动机转子转数( )旋转磁场的转数。
A:大于
B:小于
C:等于
变压器油老化后酸值(酸价)、粘度、颜色有什么变化?
首页
<上一页
102
103
104
105
106
下一页>
尾页