自考题库
首页
所有科目
自考历年真题
考试分类
关于本站
游客
账号设置
退出登录
注册
登录
出自:计算机科学
好的程序设计风格,能够提高程序的()。
A:正确性
B:可读性
C:可用性
D:可维护性
Outlook Express是由电子邮件(E-mail)和新闻(News)两个部分组成的。
同以往的版本相比较,HTML4.0:()
A:增加了JavaScript支持
B:增加了Flash技术
C:增强了网页的动态性
D:增加了ActiveX技术
常对数组进行两种基本操作是()。
A:建立和删除
B:索引和修改
C:查找和修改
D:查找与索引
有语句
输出结果是()
A:1 2 3
B:1 2 4 5
C:3 6 9
D:4 5 6
发生一次大面积基站阻断在20个逻辑站以上(含20个)50个以下的每超过规定次数1次扣()分最多扣2分。
A:0.1
B:0.2
C:0.05
D:0.15
设X,Y是两个相互统计独立的二元随机变量,其取“0”或“1”的概率为等概率分布。定义另一个二元随机变量Z,而且Z=XY(一般乘积),试计算: (1)H(X),H(Y),H(Z); (2)H(XY),H(XZ),H(YZ),H(XYZ); (3)H(X|Y),H(X|Z),H(Y|Z),H(Z|X),H(Z|Y); (4)H(X|YZ),H(Y|XZ),H(Z|XY); (5)I(X;Y),I(X;Z),I(Y;Z); (6)I(X;Y|Z),I(Y;X|Z),I(Z;X|Y),I(Z;Y|X); (7)I(XY;Z),I(X;YZ),I(Y;XZ)。
什么是逐点比较插补法?直线插补计算过程和圆弧插补计算过程各有哪几个步骤?
执行以下指令后: MOV AL,37H ROR AL AL的内容为:()
A:68H
B:1BH
C:15H
D:26H
如果用户在用Photoshop制作的作品中使用了专色,一般要求对专色进行()。
A:廓清
B:分色
C:校正
D:转换
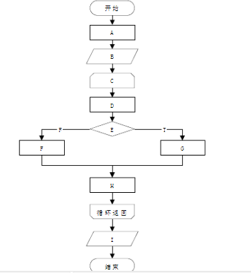
某算法设计程序流程图如图所示。试将该图转换为N-S图、PAD图、PDL伪码,并使用McCabe方法对该算法的复杂度进行估算。
现有一幅用256级灰度表示的图像,如果每级灰度出现的概率均为p(x
i
),i=0,‥,255,计算这幅图像数据的熵。
标志传送类指令有哪几种?
什么是知识产权?什么是发明专利?
下列哪项
不属于
Acrobat5.0C的页面布局方式?()
A:单页
B:连续
C:对开
D:连续-对开
量化
图样上的尺寸单位,除()及总平面以米为单位外,其他必须以毫米为单位。
A:长度
B:标高
C:宽度
D:管径
简述计算学科的定义及其根本问题。
以下哪个设备属于网络设备()
A:打印机
B:HUB
C:光驱
D:扫描仪
()分镜台本:这种台本是一种常用的,实用性很强的台本,给动画制作后续部门一个很形象的指导蓝本。
A:场景
B:文字
C:画面
D:角色
自底向上集成需要测试员编写驱动程序。
目前大多数集成电路生产中,所采用的基本材料为()。
A:非晶硅
B:单晶硅
C:多晶硅
D:硫化镉
用户自定义Schema的简单数据类型时,当关键字为()时,其含义是指定数据的显示规范
在平面构成中,点具有()、引人注目的功能。
A:聚散
B:集中
C:延伸
D:稀疏
基线可作为检查点,采用的基线发生错误时,可返回到最近的最恰当()
A:配置项
B:程序
C:基线
D:过程
设有两个信源X和Y如下:
(1)分别用霍夫曼码编成二元变长惟一可译码,并计算其编码效率; (2)分别用香农编码法编成二元变长惟一可译码,并计算编码效率; (3)分别用费诺编码方法编成二元变长惟一可译码,并计算编码效率; (4)从X、Y两种不同信源来比较这三种编码方法的优缺点。
软件设计主要解决软件项目开发的()问题。
A:做什么
B:为何做
C:怎么做
D:何时做
下列哪些方式可用于打开视图样式对话框?()
A:右键一个已存在视图的边界并从快捷菜单中选择样式,或双击视图边界
B:在菜单栏选择编辑→样式,然后选择要编辑的视图
C:在制图编辑工具条上,单击编辑样式图标,然后选择要编辑的视图进行编辑
D:在零件导航器上,右键单击一个视图节点然后选择样式
’函数?ROUND(3.14159,4)的计算结果是()。
A:3
B:3.14
C:3.1416
D:3.14159
在Brooks hear给出的机器中,地址00到07的内存单元中包含以下内容,请描述程序的功能;若开始时A0的值为20,寄存器1的值10,寄存器2的值20,寄存器3的值30,则程序结束时,A0和这三个寄存器的值各是多少?
首页
<上一页
101
102
103
104
105
下一页>
尾页