自考题库
首页
所有科目
自考历年真题
考试分类
关于本站
游客
账号设置
退出登录
注册
登录
出自:电气工程公共基础
项目建设投资中,为获得土地使用权而支付的土地使用权出让金,按规定应列入()。
A:建筑安装工程费
B:设备工器具费用
C:工程建设其他费用
D:预备费
流体是()和()的总称。
局部放电是指绝缘在电场作用下部分区域发生放电,而没有贯穿施加电压导体之间,即尚未击穿的现象.()
下列关于计算机系统硬件的说法中,正确的是()。
A:键盘是计算机输入数据的唯一手段
B:显示器和打印机都是输出设备
C:计算机硬件由中央处理器和存储器组成
D:内存可以长期保存信息
以下对广播系统的描述有误的是()。
A:广播系统可配置多音源播放设备,以根据需要对不同分区播放不同音源信号
B:广播系统的播放设备不允许具连续、循环播放和预置定时播放的功能
C:广播系统可根据需要配置传声器和呼叫站,实现分区呼叫控制功能
D:广播系统根据使用的需要可以分为公共广播、背景音乐和应急广播等不同的功能子系统
计算机病毒是一种可以造成计算机故障的()。
A:计算机芯片
B:计算机设备
C:计算机部件
D:计算机程序
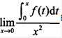
若f(x)为可导函数,且已知f(0)=0,f'(0)=2,则
的值为()。
A:0
B:1
C:2
D:不存在
等晕性
下列触发器具有约束条件的是()。
A:同步DC触发器
B:同步RS触发器
C:主从RS触发器
D:基本RS触发器
以下属于往复式泵的是()。
A:离心泵
B:旋涡泵
C:齿轮泵
D:柱塞泵
光场
以下对IaaS()的解释,正确的是()。
A:将IT基础设施能力通过互联网提供给用户使用,并根据用户对资源的实际使用量或占用量进行计费的一种服务。
B:将IT基础设施能力通过局域网提供给用户使用,并根据用户对资源的实际使用量或占用量进行计费的一种服务。
C:提供给用户真正的物理服务器。
D:无法通过用户真正浏览器访问。
VHDL中的各种逻辑运算中,运算符()的优先级别最高。
A:AND
B:OR
C:XOR
D:NOT
波长为λ=550nm(1nm=10-9m)的单色光垂直入射到光栅常数d=24×10-4cm的平面衍射光栅上,可观察到的光谱线的最大级次为()。
A:2
B:3
C:4
D:5
逻辑电路和输入信号X、Y的波形如图所示,由此可知,输出F为1时刻是()。
A:t1
B:t2
C:t3
D:t4
局部损失发生在管路的哪一个部分中?
母线不完全差动保护由_________和_________两部分组成。
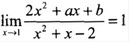
极限
的值等于().
A:0
B:1/2
C:2
D:+∞
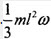
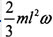
均质细直杆OA长为ι,质量为m,A端固结一质量为m的小球(不计尺寸),如图4-76所示。当OA杆以匀角速度ω绕O轴转动时,该系统对O轴的动量矩为()。
A:
B:
C:mι2ω
D:
变压器短路阻抗Zk%的大小对变压器运行性能有什么影响?
电力系统接地短路的形式有_________接地短路和_________接地短路。
要使JK触发器的输出Q从1变成0,它的输入信号JK应为();
A:00
B:01
C:10
D:无法确定
一个无符号4位权电阻DAC,最低位处的电阻为40KΩ,则最高位处电阻为()。
A:4KΩ
B:5KΩ
C:10KΩ
D:20KΩ
与网格计算相比,
不属于
云计算的特征的是()。
A:资源高度共享
B:适合紧耦合科学计算
C:支持虚拟机
D:适用于商业领域
设向量a=2i+j-k,b=i-j+2k,则a×b为().
A:i+5j+3k
B:i-5j+3k
C:5j-3k
D:1+5j-3k
三位并行比较型ADC是一种快速ADC,它由()三部分组成。
A:电子开关
B:电压比较其
C:缓冲寄存器
D:编码器
关于准确度以下正确的是()。
A:准确度表示测量值的分散程度。
B:准确度表示平均值和真值的偏差大小。
C:准确度表示测量值的分散程度及平均值偏离真值的大小。
若
,则必有()。
A:a=-1,b=2
B:a=-1,b=-2
C:a=-1,b=-1
D:a=1,b=1
将幅值上、时间上离散的阶梯电平统一归并到最邻近的指定电平的过程称为()。
A:采样
B:量化
C:保持
D:编码
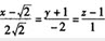
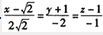
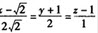
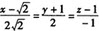
曲面z=x2-y2在点(,-1,1)处的法线方程是().
A:
B:
C:
D:
首页
<上一页
100
101
102
103
104
下一页>
尾页