自考题库
首页
所有科目
自考历年真题
考试分类
关于本站
游客
账号设置
退出登录
注册
登录
出自:电气工程公共基础
基尔霍夫定律
一个VHDL模块是否必须有一个实体和一个结构体?是否可以有多个实体和结构体?简述它们的作用。
组装电脑可分为四个步骤,下面的顺序正确的是()。
A:格式化硬盘→硬件组装→分区硬盘→安装操作系统
B:硬件组装→硬盘分区→格式化硬盘→安装操作系统
C:硬件组装→格式化硬盘→安装操作系统→分区硬盘
D:硬件组装→格式化硬盘→分区硬盘→安装操作系统
变压器铁心选用热轧硅钢片可以降低变压器的空载损耗.( )
普通型油纸电容式套管(BRY型)允许使用的海拔高度为()m及以下。
A:1000;
B:1500;
C:2000;
D:2500。
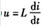
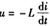
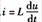
电感元件上的电压u及电流i的参考方向如图所示,描述u与i关系的表达式应该是()。
A:
B:
C:
D:u=Li
一束平行光垂直入射到某个光栅上,该光束有两种波长的光,λ1=440nm,λ2=660nm。实验发现,两种波长的谱线(不计中央明纹)第二次重合于衍射角=60°的方向上,则此光栅的光栅常数是()。
A:3.048×10-3m
B:3.281×10-4m
C:3.281×10-6m
D:3.048×10-6m
七段译码器74LS47的输入是4位(),输出是七段反码。
A:二进制码
B:七段码
C:七段反码
D:BCD码
每段长度相等的直角折杆在图4-41所示的平面内绕O轴转动,角速度ω为顺时针转向,M点的速度方向应是图中的()。
A:A
B:B
C:C
D:D
TTL与非门输出高电平的参数规范值是()
A:Uoh≥1.4V
B:Uoh≥2.4V
C:Uoh≥3.3V
D:Uoh=3.6V
设10阶行列式().则D10的值等于(.)。
A:10
B:55
C:110
D:-55
离心式泵的叶轮流道内流体的绝对速度可分解为()。
A:圆周速度和牵连速度
B:圆周速度和相对速度
C:径向速度和牵连速度
D:径向速度和相对速度
在变压器进行检修时对铁轭螺杆的绝缘电阻允许值要求:电压等级在10kV及以下为2MΩ,电压等级在35kV时为5MΩ,110kV及以上时为()MΩ。
A:2;
B:5;
C:10;
D:15。
在逻辑代数中的变量称为逻辑变量,用字母A、B、C、…表示,逻辑变量只有()两种取值。
A:0
B:1
C:2
D:3
ITILV3描述服务管理是基于()。
A:IT服务交的生命周期
B:服务交付和服务支持
C:IT治理
D:IT服务管理框架
Petri网的图简称为PNG(PetriNetGraph),下述说法能表达其特征的选项是?()
A:Petri网是对离散并行系统的数学表示
B:Petri网通常表达并发的事件
C:Petri网通常被描述为一张有向图
对检修中互感器的引线有哪些要求?
驰豫振荡
岸边的树木在水中的像看上去都是倒立的,为什么?
.在VHDL程序设计中,下面4个部分,()不是可编译的源设计单元。
A:ARCHITECTURE
B:ENTITY
C:PROCESS
D:PACKAGE
闪突起
离心式泵与风机是由原动机带动叶轮旋转,(),从而使流体获得能量。
A:流道内流体受到离心力
B:叶轮上叶片产生离心力
C:叶轮中心处形成真空
D:叶轮上叶片对流体做功
物体由于运动而具有的能f称为( )。
A:动能
B:势能
C:机械能
D:惯能
变压器的负载损耗和试验电流成()关系。
A:正比例
B:反比例
C:试验电流的平方成整比
D:无关
门电路输人端对地所接电阻R≤ROF时.相当于此端()。
A:接逻辑“1”
B:接逻辑“0”
C:接2.4V电压
D:逻辑不定
载流导体在磁场中所受力的大小与导体有效长度( )
A:的1/2成正比
B:无关
C:成正比
D:成反比
主平面的垂轴放大率为()
以下()不是按误差规律分类的。
A:系统误差
B:相对误差
C:随机误差
D:疏忽误差
ABCD为一块方解石的一个截面,AB为垂直于纸面的晶体平面与纸面的交线。光轴方向在纸面内且与AB成一锐角θ,如图所示。一束平行的单色自然光垂直于AB端面入射。在方解石内折射光分解为o光和e光,下列关于o光和e光的描述中正确的是()。
A:传播方向相同,电场强度的振动方向互相垂直
B:传播方向相同,电场强度的振动方向不互相垂直
C:传播方向不同,电场强度的振动方向互相垂直
D:传播方向不同,电场强度的振动方向不互相垂直
可以用来暂时存放数据的器件是()
A:数码寄存器
B:计数器
C:移位寄存器
D:序列信号检查器
首页
<上一页
99
100
101
102
103
下一页>
尾页