自考题库
首页
所有科目
自考历年真题
考试分类
关于本站
游客
账号设置
退出登录
注册
登录
出自:电气工程公共基础
下列()不是造成电阻分压器测量误差的主要原因。
A:电阻本身发热(或环境温度变化)造成阻值变化。
B:电晕放电造成测量误差。
C:绝缘支架的漏电造成测量误差。
D:等电位屏蔽。
哪些场所应使用安全电压照明?
建设工程的保修期自()之日起计算。
A:施工期满
B:竣工验收合格
C:完成全部施工任务
D:工程移交
在操作系统中,采用虚拟存储技术主要是为了实现存储管理的()。
A:存储分配
B:地址变换
C:存储保护
D:存储扩充
互感器一、二次绕组的同极性端子标记通用_________为同极性,_________为同极性。
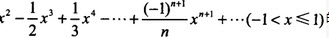
幂级数
的和是()。
A:xsinx
B:
C:xln(1-x)
D:xln(1+x)
某商品房现在购买需花50万元,6年末售后可得100万元,若将购买商品房看作是按复利向银行存款,那么相当于银行存款的利率是()。
A:10.65%
B:11.5%
C:13.5%
D:12.24%
一般扁导线厚度在1.25~2.8mm,宽度在4~10mm,宽度与厚度之比为()范围。
A:1~2
B:2~3
C:2~5
D:3~8
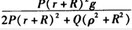
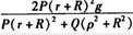
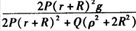
如图所示,物块A重为P,连在不计重量、不伸长的绳子上。绳子绕过定滑轮D并绕在鼓轮B上。当A下落时带动轮C沿水平直线轨道作纯滚动。鼓轮B的半径为r,C的半径为R,两轮固连,总重为Q,其对水平中心轴O的回转半径为ρ,轮D半径r,重不计,则物块A的加速度a为()。
A:
B:
C:
D:
的正确命名是()。
A:4,4-二甲基-2-戊醇
B:2,2,二甲基-4-戊醇
C:2-羟基-4,4-二甲基-2-戊烷
D:2,2-二甲基-4-羟基戊烷
一木板放在两个半径r=0.25m的传输鼓轮上面。在图4-48所示瞬时,木板具有不变的加速度a=0.5m/s2,方向向右;同时,鼓轮边缘上的点具有一大小为3m/s2的全加速度。如果木板在鼓轮上无滑动,则此木板的速度为()。
A:0.86m/s
B:3m/s
C:0.5m/s
D:1.67m/s
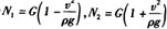
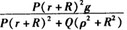
重为G的汽车在图示的凹凸路面上以匀速率v行驶,若凹下路面的最低处与凸起路面的最高处的曲率半径均为p,则汽车在最低处时对路面的铅直压力N1和在最高处时对路面的铅直压力N2的大小就分别为()。
A:N1=G,N2=G
B:
C:
D:
下列逻辑电路中,不是组合逻辑电路的是()。
A:译码器
B:加法器
C:寄存器
D:数据选择器
一洒水车以等加速度a向前平驶,如图示,则水车内自由表面与水平面间的夹角等于()。
A:A
B:B
C:C
D:D
离心式泵的稳定运行工作点是在Q-H性能曲线的()区域。
A:上升
B:都不行
C:下降
D:都可以
曲线的拐点是().
A:(-1,-e-1)
B:(0,0)
C:(-2,-2e-2)
D:(2,2e2)
非周期信号的幅度频谱是()。
A:连续的
B:离散的,谱线正负对称排列
C:跳变的
D:离散的,谱线均匀排列
关于改扩建项目经济评价的特点中,下列说法正确的是()。
A:在有项目的情况下,不再利用的原有固定资产不再是固定资产的一部分
B:在有项目的情况下,不再利用的原有固定资产可以提取折旧
C:在有项目的情况下,新增折旧一定等于新增固定资产的折旧
D:在有项目的情况下,计算投资时,原有资产与新增投资一起计入投资费用
单缝宽度a=1×10-4m,透镜焦距为f=0.5m,若用λ=400nm的单色平行光垂直入射,中央明纹的宽度为()。
A:2×10-3m
B:2×10-4m
C:4×10-4m
D:4×10-3m
下列集成ADC,属于逐次比较型的有()。
A:ADC0809
B:AD574
C:ICL7106
D:ICL7107
同步时序电路和异步时序电路比较,其差异在于后者()。
A:没有触发器
B:没有统一的时钟脉冲控制
C:没有稳定状态
D:输出只与内部状态有关
利用电压源与电流源等效互换的方法求解图示电路中的电压的正确过程是()。
A:
B:
C:
D:
OSI模型中的()层网络用户可以使用邮件服务、文件传输等。
A:数据连接
B:会话
C:传输
D:应用
图示数字信号所表示的二进制数和十进制数分别为()。
A:010110和22
B:011010和26
C:11010和26
D:10110和22
根据《建筑法》的规定,以下有关建筑工程发包承包的说法,
不正确
的是()。
A:两个以上的承包单位联合共同承包的,共同承包的各方对承包合同的履行承担连带责任
B:提倡对建筑工程实行总承包
C:禁止承包单位将其承包的全部建筑工程转包给他人
D:禁止承包单位将其承包的建筑工程中的部分工程分包
函数
,在x→1时,f(x)的极限是()。
A:2
B:3
C:0
D:不存在
设某元素的特征光谱中含有波长分别为λ1=450nm和λ2=750nm的两条光谱线,当用一光栅常数(a+b)=5.00×10-6m的光栅观测其光谱时,发现这两种波长的谱线有重叠现象,在下列结果中,正确描述重叠处λ2谱线级数的是()。
A:2,3,4,…
B:2,5,8,…
C:3,6
D:3,6,9,…
在一定条件下,已建立平衡的某可逆反应,当改变反应条件使化学平衡向正反应方向移动时,下列有关叙述正确的是()。
A:生成物的体积分数一定增加
B:生成物的产量一定增加
C:反应物浓度一定降低
D:使用了合适的催化剂
电子计算机机房低压配电系统,应采用频率为50Hz、电压为220/380V的( )系统接地形式。
A:IT
B:TN-S
C:TN-C
D:TN-C-S
电气设备保护接地电阻越大发生故障时漏电设备外壳对地电压( )
A:越低
B:不变
C:越高
首页
<上一页
98
99
100
101
102
下一页>
尾页