自考题库
首页
所有科目
自考历年真题
考试分类
关于本站
游客
账号设置
退出登录
注册
登录
出自:质量、投资、进度控制
()实际上是根据设备工程合同工作范围,对完成工程必须实施的全部活动进行定义,明确责任。
A:工作分解结构
B:多级进度计划
C:网络进度计划
D:横道图进度计划
设备制造过程进度管理监理工作细则的内容
不包括
()。
A:设备制造过程总目标和分目标
B:设备制造过程进度管理的主要工作内容和深度
C:审核总进度计划安排的全面性
D:设备监理人员的具体分工
进度安排不当引起的费用偏差属于()引起的偏差。
A:客观原因
B:业主原因
C:设计原因
D:工程实施原因
按照FIDIC条件,业主应在工程师收到报表和证明文件后()天内,向承包商支付其中付款证书中确认的金额。
A:28
B:56
C:14
D:12
一般只用于财务评价的不确定性分析方法是()。
A:盈亏平衡分析
B:敏感性分析
C:决策树分析
D:概率分析
下列指标中()属于价值型指标。
A:净现值
B:净年值
C:内部收益率
D:外部收益率
E:净终值
6个月以上的病假人员工资、职工死亡丧葬补助费、抚恤费及按规定支付给离休干部的各项经费属于()。
A:工会经费
B:劳动保险费
C:职工养老保险费及待业保险费
D:保险费
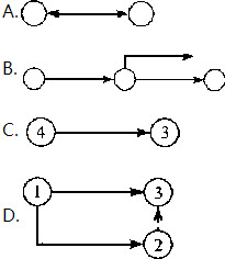
如网络图中,符合绘图规则的是()。
A:A
B:B
C:C
D:D
专制机械设备的结算一般分为三个阶段,即()。
A:预付款
B:阶段付款
C:最终付款
D:履约证书交付阶段
E:竣工验收阶段
确定设备工程进度总目标的主要依据有()。
A:合同约定
B:工期目标
C:设备工程各级、各类进度计划
D:工期定额
E:类似工程的实际进度
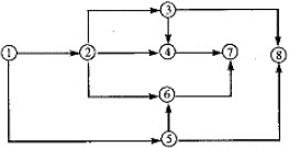
某分部工程的双代号网络图如下,正确的是()。
A:节点编号不对
B:有多余虚工作
C:有多个终点节点
D:有多个起点节点
在工程网络计划执行过程中,当某项工作实际进度出现的偏差超过其总时差,需要采取措施调整进度计划时,首先应考虑()的限制条件。
A:紧后工作最早开始时间
B:后续工作最早开始时间
C:各关键节点最早时间
D:后续工作和总工期
直方图的常见形态包括()。
A:双峰型
B:偏峰型
C:离散型
D:标准型
E:孤岛型
关于设计变更控制的基本要求,下列说法错误的是()。
A:所有变更活动都不应予以记录
B:对通用零部件的设计变更方法和步骤应作出专门的规定
C:设计变更应按规定的程序进行
D:只允许指定的设计负责人对其负责的图样及设计文件进行变更
()的目的是为了检验设备安装精度的保持性、设备的稳固可靠性,传动、操纵、控制等系统在运转中状态是否正常。
A:空运转试验
B:试生产试验
C:负荷试验
D:精度试验
对质量管理体系的管理包括( )。
A:质量方针
B:管理者代表
C:做好内部沟通
D:文件控制
E:管理评审
()是设计质量管理的作业技术和活动,是为了确保设计的适宜性、充分性、有效性和效率,并达到规定的目标所进行的活动。
A:设备评审
B:设计评审
C:初步评审
D:技术评审
下列方法中,
不属于
费用偏差分析的方法为()。
A:横道图法
B:模拟法
C:表格法
D:曲线法
衡量资金时间价值的绝对尺度有()。
A:利率
B:利息
C:汇率
D:利润率
E:利润
某设备工程设计方案的投资为4000万元,年运行成本为1000万元,寿命期为6年,预计残值为200万元。项目的基准收益率为15%,则该方案的费用年值为()万元。
A:1000
B:2057.08
C:2080
D:2034.25
在设备安装过程中,常见的业主索赔包括()
A:业主原因引起的施工缺陷的索赔
B:业主合理中止合同的索赔
C:承包商不合理地放弃工程的索赔
D:承包商原因导致的工期延误的索赔
E:承包商不履行的保险费用索赔
某设备工程进度网络计划如下图所示。当设备监理工程师因设计图纸提交时间延误而令工作D的持续时间由4天延长到8天时,承包商可索赔的工期为()天。
A:4
B:2
C:1
D:0
进度计划的调整方法有()。
A:改变工作间的逻辑关系
B:改变关键工作的持续时间
C:将顺序进行的工作改为流水作业
D:将顺序进行工作改为搭接作业
E:缩短关键线路上的后续工作
下图所示双代号网络图的绘图不合规则的是()。
A:不合逻辑关系
B:有循环路线
C:节点编号错误
D:有多个起点节点
E:箭线方向错误
设备的试运转一般可分为()。
A:试生产小批量产品试验
B:精度试验
C:负荷试验
D:空运转试验
E:试生产大批量产品试验
样本数据特征值中的变异系数C
v
=S
,其中S代表()。
A:样本标准偏差
B:总体大小
C:总体均值
D:总体标准偏差
不属于
服务质量特性的是()。
A:服务的性能
B:服务的舒适性
C:服务的文明性
D:服务的经济性
供应商的评审应包括采购、设备开发、设计、()等全部质量职能。
A:生产能力
B:供应能力
C:安检效率
D:生产策划
在双代号网络计划中,已知其计划工期等于计算工期,且某工作的完成节点为关键节点,该工作的()。
A:总时差大于自由时差
B:总时差等于自由时差
C:总时差小于自由时差
D:总时差与自由时差无关
某分部工程双代号时标网络计划如下图所示,该计划所提供的正确信息有()。
A:工作B的总时差为3天
B:工作C的总时差为2天
C:工作D为关键工作
D:工作E的总时差为3天
E:工作G的自由时差为3天
首页
<上一页
8
9
10
11
12
下一页>
尾页