自考题库
首页
所有科目
自考历年真题
考试分类
关于本站
游客
账号设置
退出登录
注册
登录
出自:专业知识
对于预应力混凝土的论述,正确的是()
A:对构件施加预应力是为了提高其承载力
B:先张法适用于大型预应力构件施工
C:预应力混凝土可用来建造大跨度结构是由于有反拱、挠度小
D:软钢或中等强度钢筋不宜当作预应力钢筋是因为它的有效预应力低
弯矩调幅值必须加以限制,主要是考虑到()
A:力的平衡
B:施工方便
C:正常使用要求
D:经济
E:施工方便
由于稳定系数9随长细比λ的增大而减小,所以,直接用长细比较大者查表,就能得到φ
min
,代入整体稳定性验算即可,对吗?
配置受压钢筋的梁的长期刚度大一些,主要原因是()
A:可减少混凝土收缩和徐变对挠度的影响
B:减小了受压区高度
C:增加了配筋率
D:增加了延性
PC塑料的飞边值为多少?
《砌体规范》10.5.6条原文如下:由重力荷载代表值产生的框支墙梁内力应按本规范第7.3节的有关规定计算。重力荷载代表值应按现行国家标准《建筑抗震设计规范》GB50011中第5.1.3条的有关规定计算。但托粱弯矩系数αM、剪力系数β
V
应予增大;增大系数当抗震等级为一级时,取为1.10,当抗震等级为二级时,取为1.05,当抗震等级为三级时,取为1.0。该条的条文说明指出:"重力荷载代表值则应按现行国家标准《建筑抗震设计规范》GB50011中第5.1.3条的有关规定计算,即取全部重力荷载不另行折减"。这个"不另行折减"如何理解?是不是说取重力荷载代表值=1.0恒+1.0活,而不是1.0恒+0.5活?《抗规》5.1.3条中倒是有1.0恒+1.0活的情况,但是只适用于"按实际情况计算的楼面活荷载"。
说说一款MP3在生产时需要经过哪几种测试?
壳选择全电镀工艺时要注意那些方面?
螺丝柱设计时,在什么情况下须设计加强筋?
将(10010.0101)
2
转换成十进制数是()
A:36.1875
B:18.1875
C:18.3125
D:36.3125
请列举手机装配的操作流程。
梁腹板的高厚比80<h0/tw<170时,应设置()。
A:横向加劲
B:纵向加劲肋
C:纵横向加劲肋
D:短加劲肋
在计算梁的跨中弯矩设计值时,要不要乘以车道数?
今对于《钢规》的公式(5.2.2-2)(见下式),有几个疑问:
(1)规范中说,"对于表5.2.1的3、4项中的单轴对称截面压弯构件,当弯矩作用在对称轴平面且使翼缘受压时"使用该式,但是,规范表5.2.1(塑性发展系数表)的第4项,其截面见图2-2-10,似乎不符合这个条件呀?
(2)若该公式可以理解为"应力计算",公式中截面特征似乎应取净截面。
电镀用哪几种?最常用的是镀什么?
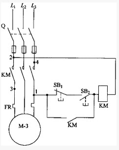
如图所示,控制电路的错误接线不能使电动机M起动。要使M起动并能连续运转,且具备过载保护、失压保护、短路保护的功能,正确的接线是下列哪种()?
A:
B:
C:
D:
摩擦型与承压型高强度螺栓连接的主要区别是()
A:高强度螺栓的材料不同
B:摩擦面的处理方法不同
C:施加的预加拉力不同
D:抗剪承载力不同
《钢规》5.1.3条规定,双肢组合构件,当缀件为缀条时,
式中A
1x
的含义是"构件截面中垂直于χ轴的各斜缀条毛截面面积之和",如何理解?我看到有的参考书对于双缀条情况取单缀条截面积乘以2。
建筑高度、设防烈度、场地类别等均相同的两幢建筑,一个采用框架结构体系,另一个采用框架一剪力墙结构体系,两种体系中框架抗震等级的比较是()
A:必定相等
B:后者的抗震等级高
C:后者的抗震等级低
D:前者的抗震等级高,也可能相等
按键设计时应注意哪些内容?
简述产品产生批锋的原因?
滑块斜导柱与斜压块的度数差是多少?为什么?
矩阵
的秩是()
A:1
B:2
C:3
D:4
是否需拆电极放火花?
《荷载规范》附表D.4为"全国各城市的50年一遇雪压和风压",表中"n=10"、"n=100"是何意?
经常说“泡胶”是怎么回事?
关于结构抗震,有3个疑问:(1)如何理解"抗震等级"?(2)规范中提到的"抗震等级提高一级"是指的抗震措施还是抗震构造措施?例如,《高规》7.1.2条第3款规定,"抗震设计时,短肢剪力墙的抗震等级应比本规程表4.8.2规定的剪力墙的抗震等级提高一级采用"。(3)轴压比验算时,应按抗震措施还是抗震构造措施确定抗震等级?
《钢规》的5.1.1条,对高强度螺栓承压型连接处的强度规定用σ=
和
计算,请问,为什么要对毛截面进行计算?
《砌体规范》4.2.6条要求风荷载引起的弯矩按照下式计算:
这个弯矩应该是最大弯矩吧?处于什么位置?
静定结构承受温度改变时,其变形、内力的变化状况为()
A:既产生变形,又产生内力
B:只产生变形,不产生内力
C:不产生变形,只产生内力
D:不产生变形,不产生内力
首页
<上一页
8
9
10
11
12
下一页>
尾页