自考题库
首页
所有科目
自考历年真题
考试分类
关于本站
游客
账号设置
退出登录
注册
登录
出自:公共基础
在H
2
S的饱和溶液中,下列结论中错误的是()。
A:A
B:B
C:C
D:D
在计算机系统中,可执行程序是()。
A:源代码
B:汇编语言代码
C:机器语言代码
D:ASCH码
对于一个化学反应,下列各组中关系正确的是()。
A:A
B:B
C:C
D:D
抢险救灾及其他临时性房屋建筑和农民自建底层住宅的建筑活动()《建筑法》。
A:严格参照
B:参照
C:不适用
D:可适用
在相同温度下,氢气分子的最概然速率是氧气分子最概然速率的()倍。
A:A
B:B
C:C
D:D
层流沿程阻力系数λ()。
A:只与雷诺数有关
B:只与相对粗糙度有关
C:只与流程长度和水力半径有关
D:既与雷诺数有关又与相对粗糙度有关
某基元反应2A(g)+B(g)===C(g),将2molA(g)和1molB(g)放在1L容器中混合,问反应开始的反应速率是A、B都消耗一半时反应速率的()倍。
A:0.25
B:4
C:8
D:1
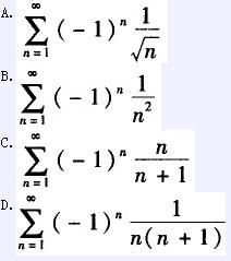
下列级数中,条件收敛的级数是().
A:A
B:B
C:C
D:D
容量为10kVA的单相照明变压器,电压为3300/220V,副边全部接上60W、220V的白炽灯,若使变压器在额定情况下运行,原边电流值最接近于()A。
A:1.67
B:3.03
C:4.09
D:4.52
开展价值工程活动的目的是()。
A:思想方法的更新和技术管理
B:对功能和成本进行系统分析和不断创新
C:提高功能对成本的比值
D:多领域协作降低产品成本
已知D(X)=2,D(Y)=3,则Cov(X+Y,X-Y)等于().
A:1
B:-1
C:5
D:6
某投资方案,基准收益率15%,若该方案的内部收益率为18%,则该方案()。
A:净现值大于零
B:净现值小于零
C:该方案不可行
D:无法判定是否可行
在计算某投资项目的财务内部收益率时得到以下结果,当用i=18%试算时,净现值为-499元,当i=16%试算时,净现值为9元,则该项目的财务内部收益率为()。
A:17.80%
B:17.96%
C:16.04%
D:16.20%
一束波长为λ的单色光由空气垂直入射到折射率为n的透明薄膜上,透明薄膜放在空气中,要使反射光得到干涉加强,则薄膜最小的厚度为()。
A:λ/4
B:λ/4n
C:λ/2
D:λ/2n
在下列分子中,电偶极矩不为零的分子是()。
A:A
B:B
C:C
D:D
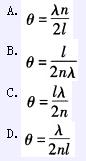
有一玻璃劈尖,置于空气中,劈尖角为θ,用波长为λ的单色光垂直照射时,测得相邻明纹间距为l,若玻璃的折射率为n,则θ,λ,l与n之间的关系为()。
A:A
B:B
C:C
D:D
设声波在媒质中的传播速度为u,声源的频率为υ
S
。若声源S不动,而接收器R相对于媒质以速度vR沿着S、R连线向着声源S运动,则位于S、R连线中点的质点P的振动频率为()。
A:A
B:B
C:C
D:D
计算机只能处理数字信号,因为()。
A:计算机电路是模拟电路
B:计算机运行速度快
C:计算机电路是数字电路
D:计算机运行速度慢
质量一定的理想气体,从相同状态出发,分别经历等温过程、等压过程和绝热过程,使其体积增加一倍。那么气体温度的改变(绝对值)在()。
A:绝热过程中最大,等温过程中最小
B:绝热过程中最大,等压过程中最小
C:等压过程中最大,绝热过程中最小
D:等压过程中最大,等温过程中最小
空气的动力黏滞系数与水的动力黏滞系数分别随温度的降低而()。
A:降低、升高
B:降低、降低
C:升高、降低
D:升高、升高
资金成本率是指()。
A:使用资金所负担的费用与筹集资金净额之比
B:使用资金所负担的费用与筹集资金总额之比
C:筹集资金所负担的费用与筹集资金净额之比
D:筹集资金所负担的费用与筹集资金总额之比
在杨氏双缝实验中,若用白光作光源,则干涉条纹的情况为()。
A:中央明纹是白色的
B:红光条纹较密
C:紫光条纹间距较大
D:干涉条纹为白色
在设计一个管道流动模型,流动介质的重力起主要作用时,应主要考虑满足的动力相似准则是()。
A:欧拉准则
B:韦伯准则
C:雷诺准则
D:佛汝德准则
某项目设计能力为12万公斤/年,单位产品价格为675元/公斤,单位产品变动成本为250元/公斤,年固定成本为1500万元。经计算:盈亏平衡产量和盈亏平衡单价分别为()。
A:29432公斤,345元/公斤
B:33485公斤,355元/公斤
C:35294公斤,375元/公斤
D:37374公斤,375元/公斤
下列电子构型属于原子基态的是()。
A:A
B:B
C:C
D:D
液体的弹性模量E、密度ρ和流速v可组成的无量纲数为()。
A:A
B:B
C:C
D:D
若在同一长直等径管道中用不同液体进行实验,当流速相等时,其沿程水头损失h在()是相同的。
A:层流区
B:紊流光滑区
C:紊流过渡区
D:紊流粗糙区
可外贸货物的投入或产出的影子价格应根据口岸价格计算,下列公式正确的是()。
A:出口产出的影子价格(出厂价)=离岸价(FOB)×影子汇率+出口费用
B:出口产出的影子价格(出厂价)=到岸价(CIF)×影子汇率-出口费用
C:进口投入的影子价格(到厂价)=到岸价(CIF)×影子汇率+进口费用
D:进口投入的影子价格(到厂价)=离岸价(FOB)×影子汇率-进口费用
已知突扩前后管段的管径之比d1/d2=0.5,则突扩前后断面平均流速之比v1/v2=()。
A:4
B:2
C:1
D:0.5
下列各套量子数中不合理的是()。
A:n=3,l=1,m=0
B:n=2,l=2,m=1
C:n=4,l=2,m=2
D:n=5,l=3,m=2
首页
<上一页
7
8
9
10
11
下一页>
尾页